
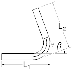
钣金零件是按照折叠或功能状态定义的,但是由展平的图纸构成。展开以形成展开模式的折弯在折弯区域内将改变材料的形状。变形量取决于一些变量。将折叠的模型变形为展平状态,需要使用以下三种方法之一来估算此变形:
使用自定义表达式可以准确指定:您希望如何表明折叠钣金零件模型中折弯区域的展平。这些自定义表达式是在指定的展开规则中定义的,该规则是使用“样式和标准编辑器”对话框定义的。
用于求解展平变形的表达式类型将进一步在后面的章节中介绍。

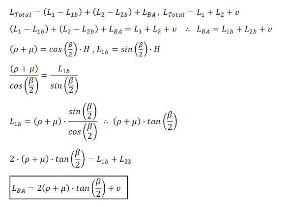
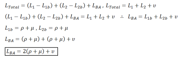
折弯补偿表达式允许您使用以下表达式确定总展开长度:
其中:
|
|
为总展开长度。 |
|
|
为从第一个平面板参数到轮廓延伸交线的长度。 |
|
|
为从第二个平面板参数到轮廓延伸交线的长度。 |
|
|
为折弯余量计算的结果。 |
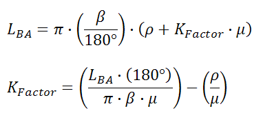
Inventor 将使用以下表达式计算折弯余量。对于角度情况:
使用的表达式为:
其中:
|
|
为折弯角度。 |
|
|
为折弯余量长度。 |
|
|
为折弯板内径。 |
|
|
为板材厚度。 |
|
|
为折弯余量计算的结果。 |
扩展原始的表达式以将折弯余量计算结果包括在:


对于角度情况:

以下表达式用于:
扩展原始的表达式以将折弯余量计算结果包括在:


一旦确定了折弯余量,便可使用以下表达式推导 K 系数:


折弯扣除表达式允许您使用以下表达式确定总展开长度:
其中:
|
|
为总展开长度。 |
|
|
为从第一个平面板参数到轮廓延伸交线的长度。 |
|
|
为从第二个平面板参数到轮廓延伸交线的长度。 |
|
|
为折弯余量计算的结果。 |
折弯扣除表达式提供了计算方法,该计算方法可以视为折弯补偿方法的逆运算。
对于折弯扣除,Inventor 将使用以下表达式计算折弯余量。对于角度情况:

使用的表达式为:

其中:
|
|
为折弯角度。 |
|
|
为折弯余量长度。 |
|
|
为折弯板内径。 |
|
|
为板材厚度。 |
|
|
为折弯余量计算的结果。 |
对于角度情况:
使用的表达式为:

折弯余量表达式允许您使用以下表达式确定总展开长度:
其中:
|
|
为总展开长度。 |
|
|
为第一个折弯板的长度。 |
|
|
为第二个折弯板的长度。 |
|
|
为折弯余量计算的结果。 |
会提供一个定义的表达式来直接求解折弯余量。K 系数可以从以下表达式推出:


使用 K 系数方法确定总展开长度时使用以下表达式:
其中:
|
|
为总展开长度。 |
|
|
为第一个折弯板的长度。 |
|
|
为第二个折弯板的长度。 |
|
|
为折弯余量计算的结果。 |
可以使用下面的公式计算折弯补偿: