冷却液的粘度、流动速率和雷诺数是相互关联的。
冷却液的粘度模型可表示为以下方程式:
其中:
为粘度 (Pa.s)
为冷却液温度 (K)
为数据拟合系数 (Pa.s),
以及
为数据拟合系数 (K)
等于 273.15 K 流动速率和粘度之间的关系源于通过管道的不可压缩粘性流理论,开始于达西-魏斯巴赫公式:
其中:
为水头损失,等于
,即管道内的压力降除以流体密度,再乘以重力常数
为摩擦系数
为管道长度
为管道直径
为平均流动速度,等于
,即流动速率除以管道的横断面面积 替换上方的
和
,我们可以得出:
上方方程式中的摩擦系数
与雷诺数
相关(如下所示)。对于较低的雷诺数,即
:
对于较高的范围,即雷诺数
,摩擦系数为 
,其中
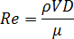
雷诺数 与粘度
相关, 可通过以下方程式表达: