为准确地进行微芯片封装晶片位移分析,必须要考虑到通过导线架开口处的交叉流。
导线架上、下型腔之间的压力差导致了晶片位移。要准确地计算压力差,需要为交叉流建模。
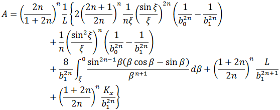
对于典型的 QFP 芯片,导线架中的开口位于芯片的角部、侧面和周边,如下面的图 1 所示。使用 Hele-Shaw 近似理论在填充+保压分析中为开口建模时,我们需要考虑到与穿过开口的流动有关的接合点损失。由于存在接合点损失,模型中开口的大小将与实际的开口大小不同。要计算将在模型中使用的开口大小(厚度),可使用以下方程。
其中
和
当
当
当
其中:
是
,
是幂次法则指数,
是开口宽度的一半,
是实体区域间距离的一半,
是将在模型中使用的开口宽度的一半。 可将模型中开口的长度用作导线架的厚度。对于芯片的周边(如下面的图 1 所示),可以假定
为
的一半,且
为导线架厚度。当
= 0.74、
= 1.2041、
= 0.2501 且
= 0.903 时。
、
和
的值仅略微依赖于
,因此这些值可用于
的其他值。对于近似计算,可将
作为
。可将方程 2 中的积分项求近似值如下:
在某些区域中,存在过多的要在模拟中为其建模的开口。例如,在侧面区域可能存在数十个开口。以下方程可用于将
个大小相同的开口合并成一个开口,并确定该单个开口的大小:
至于型腔的厚度,我们可以使用一侧的厚度建模。但对于大的开口(在芯片的周边),可以使用两个型腔的合并厚度。在模型中,可以忽略金线。
为型腔建模的另一种方法如下。芯片周边的大开口区域的厚度按照型腔一侧的厚度建模。但是,此区域的形状因子为 0.5。其他区域的形状因子为 1。
有关芯片型腔模型的示例如图 1 所示。该模型中包含上、下型腔,以及连接上、下型腔的型腔。上、下型腔被 L(导线架的厚度)分隔。

通过交叉流单元为型腔建模的示例
其中:
= 上型腔
= 交叉流单元
= 下型腔