执行纤维取向分析时,可选择降低的应变闭合 (RSC) 模型来计算纤维取向。

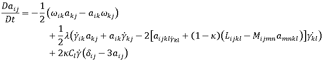
是纤维取向张量。
是涡度张量,
是变形速率张量。
是标量现象参数纤维相互作用系数,其值通过拟合实验结果来确定。此术语被添加到初始 Jeffery 形式中,用来表示纤维与纤维的迭代。 
来减小。
被替换为 
和
定义为: 

此处,
是 pth 特征值(是取向张量
的),
是 ith 分量(是 pth 特征值的,该特征值又是
取向张量的)。
标量因子
是现象参数,并且
表示对慢速取向动态进行建模。标量因子
越小,取向张量随流动的变化就越慢,取向型芯层也会变得越厚。当
= 1 时,RSC 模型简化为原始 Folgar-Tucker 模型。
J. Wang, J.F. O’Gara, and C.L. Tucker III, An Objective Model for Slow Orientation Dynamics in Concentrated Fiber Suspensions: Theory and Rheological Evidence. Journal of Rheology, 52(5):1179-1200 (2008).