典型剪切速率偏差

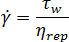
体积剪切速率或典型剪切速率来自壁剪切应力和流动性,是分析过程中的计算量。

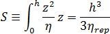
典型粘度 由流动性 计算得出, 而零件的厚度 为:

典型剪切速率则由壁剪切应力和典型粘度计算得出,如下所示: