可以使用以下两种方法之一创建永久性配线:
“转换为导线”面板上的工具,来将永久性配线添加到线路中。 创建永久性配线之后,未选中该线路时,配线会在视图中保持可见。
“电气”面板上的“添加导线”工具,手动创建永久性配线。 将配线添加到项目中是可选的。 可以创建没有配线的线路;Revit 会保持与该线路关联的智能化。 使用线路属性可指定在线路中使用的导线的类型。 请参见线路属性。
将临时线路转换为永久性配线
为该线路选择配线的类型
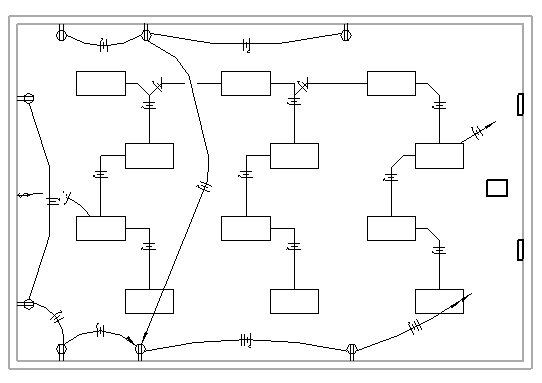
弧形配线通常用于表示在墙、天花板或楼板内隐藏的配线。
带倒角的配线通常用于表示外露的配线。
在下面的示例中,弧形配线与插座相连,而带倒角的配线与照明设备相连。
