天花板上方的空间(用作回风路径时)是天花板回风正压送风系统。 与传统的风管式回风不同,正压送风系统的路径中可以有多个热源。这些热源可以是来自照明设备和变压器的辐射和对流负荷,来自邻近墙、屋顶或玻璃的传导负荷,或者正压送风系统内的风管和管道系统。以下公式显示正压送风系统的温度和传热是如何在引擎中计算的:
(35)
(36)
(37)
(38)
(39)
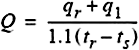
其中
= 从正压送风系统透过天花板进入空间的热增量,Btu/h
= 通过楼板上方的正压送风系统热损失,Btu/h
= 通过回风“拾取”的热增量,Btu/h
= 回风量,Btu/h
= 通过回风进入正压送风系统的光线热增量,Btu/h
= 进入空间的光线热增量,Btu/h
= 从正压送风系统下方获得的热增量,通过楼板,Btu/h
= 从外墙获得的热增量,Btu/h
= 空间冷负荷,包括对
、
和/或
的适当处理,Btu/h
= 正压送风系统温度,°F
= 空间温度,°F
= 楼板上方的空间温度,°F
= 送风温度,°F

典型回风正压送风系统的示意图