代表性剪切率起源

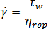
整體剪切率或代表性剪切率從模壁剪應力與流動性導出,為分析期間計算的量。

代表黏度 可根據流動性 與零件的厚度 計算得出,即:

然後可利用模壁剪應力與代表黏度計算出代表性剪切率: