減少應變閉合模型

「減少應變閉合」(RSC) 模型是執行纖維配向分析時,計算纖維配向的一個選項。

Folgar-Tucker 配向方程式是用於纖維配向計算的標準模型。控制方程式為:
請注意以下幾點:
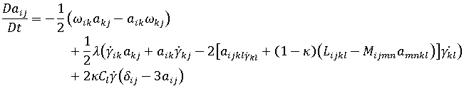
但是,近期實驗與參考指出,Folgar-Tucker 模型過度評估濃縮懸浮液中配向張量的變更率。為了抓取慢速配向動態,並保存客觀性,已發展出 RSC 模型。1 此模型以減少配向張量的特徵值之生成率達到某一向量係數,同時將特徵向量的旋轉率保持不變之概念為基礎。因此配向方程式可修改為:
RSC 模型與標準 Folgar-Tucker 模型的差異僅在於:
  1. 擴散項會減少純量係數,
  2. 閉合項 由以下項取代:
四級張量 定義如下:

在此, 是以下配向張量的第 p 個特徵值: 是以下配向張量的第 p 個特徵向量的第 i 個分量:

純量係數 是現象參數, 可用來為慢速配向動態塑型。純量係數 越小,配向張量隨流發展的速度越慢,配向公模仁圖層也會越厚。當 = 1 時,RSC 模型會簡化為原始 Folgar-Tucker 模型。

參考

J. Wang, J.F. O’Gara, and C.L. Tucker III, An Objective Model for Slow Orientation Dynamics in Concentrated Fiber Suspensions: Theory and Rheological Evidence. Journal of Rheology, 52(5):1179-1200 (2008).

1 RSC 模型的美國專利權屬 Delphi Technologies, Inc. 所有 (Tucker et al., 2007),而 Autodesk 則擁有使用此模型的獨家授權。