複合機械性質的預測

纖維配向是確定機械 (彈性) 強度及成型零件勁度的主要因素之一。

目前已發展出一些理論,來在已知零件中的纖維配向分佈時,預測短纖維複合物的機械性質。

若要計算機械性質,所有理論都依照一個兩步驟的程序操作:

  1. 預估單向短纖維強化材料的性質。
  2. 然後根據纖維配向分佈密度計算出整個層壓板上這些性質的平均值。

因此,這種方法可單獨說明纖維長度與纖維配向的影響。

Tandon-Weng 模型是計算複合材料單向性機械性質的基礎。Autodesk Simulation Moldflow Insight 實作也會考慮 Tucker/Liang 對 Tandon-Weng 模型進行蒲松氏比計算的處理方式。

需要輸入到分析中的纖維與聚合物性質有:

下列基本機械性質針對複合材料中的每一個元素導出:

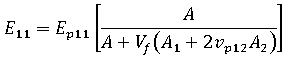
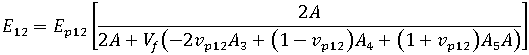
縱向與橫向模數

Tandon Weng 模型會將短纖維強化複合物視為嵌入於無限彈性聚合物母體中的單向對齊球體包含物的特殊情況處理。

單軸對齊系統的縱向模數可以寫為:

其中,、 , 為與 Tandon Weng 論文中參數相關的參數。

單軸對齊系統的橫向模數可以寫為:

其中, 為與 Tandon Weng 論文中參數相關的參數。

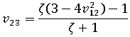
剪切模數與蒲松氏比

當針對複合材料計算縱向與橫向剪切模數及蒲松氏比時,會套用 Halpin-Tsai 程序。

這些常數可以寫為:
其中:
其中, 是聚合物的整體模數,定義為
平面內蒲松氏比使用以下的混合物定律 (rule of mixtures) 計算:
複合物的平面外蒲松氏比計算公式為: