覆晶充填封膠的黏度模型

覆晶充填黏度模型 (修改反應式材料的 Herschel-Bulkley-WLF 黏度模型所得) 專門用於覆晶充填封膠。

覆晶充填黏度模型包括一個額外項 (厚度),如下所示:

其中,

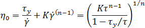
厚度為參考厚度時的黏度可透過下列方程式計算得出:

其中,

註: 針對一般熱固性材料,請使用 Herschel-Bulkley-WLF 黏度模型或反應式黏度模型。