
Plechové součásti jsou definovány svinutým nebo funkčním stavem, ale jsou vyráběny z plochého plechu. Ohyby, které se rozvinou, deformují materiál v mezích zóny ohýbání. Rozsah deformace závisí na některých proměnných. Transformace složeného modelu na rovný stav vyžaduje výpočty pro danou deformaci pomocí jedné ze tří metod:
Použitím uživatelských výrazů určete přesně jak chcete realizovat rozvinutí zón ohybu v rámci ohnuté plechové části modelů. Tyto uživatelské výrazy jsou definovány v rámci pojmenovaného pravidla rozvinu, které je definované pomocí dialogu Editor stylu a norem.
Typy výrazů pro řešení deformace rozvinutí jsou dále popsány v následujících částech.

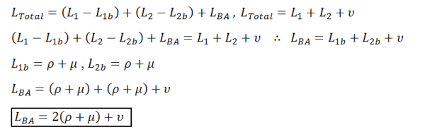
Výraz kompenzace ohybu umožňuje stanovit celkovou rozvinutou délku pomocí výrazu:
kde:
|
|
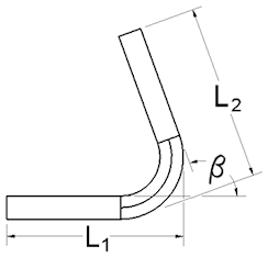
je celková rozvinutá délka, |
|
|
je délka od první plochy detailu k pomyslné hraně, |
|
|
je délka od druhé plochy detailu k pomyslné hraně, |
|
|
je výsledek výpočtu přídavku na ohyb. |
Inventor vypočte přídavek na ohyb pomocí následujících výrazů. Pro úhlové případy:
použije se výraz:
kde:
|
|
je úhel ohybu, |
|
|
je délka přídavku na ohyb, |
|
|
je vnitřní poloměr plochy ohybu, |
|
|
je tloušťka plechu, |
|
|
je výsledek výpočtu přídavku na ohyb. |
Rozšíření původního výrazu, aby zahrnoval výpočet přídavku na ohyb, bude následující:


Platí-li pro úhel nerovnice:

Je použit následující výraz:
Rozšíření původního výrazu, aby zahrnoval výpočet přídavku na ohyb, bude následující:


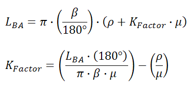
Jakmile je přídavek na ohyb stanoven, KSoučinitel může být odvozen pomocí vztahu:


Výraz odvození ohybu umožňuje stanovit celkovou rozvinutou délku pomocí výrazu:
kde:
|
|
je celková rozvinutá délka, |
|
|
je délka od první plochy detailu k pomyslné hraně, |
|
|
je délka od druhé plochy detailu k pomyslné hraně, |
|
|
je výsledek výpočtu přídavku na ohyb. |
Výraz odvození ohybu poskytuje metodu výpočtu, která může být považována za přímý opak metody kompenzace ohybu.
Inventor vypočte pro odvození ohybu přídavek na ohyb pomocí následujících výrazů. Platí-li pro úhel nerovnice:

použije se výraz:

kde:
|
|
je úhel ohybu, |
|
|
je délka přídavku na ohyb, |
|
|
je vnitřní poloměr plochy ohybu, |
|
|
je tloušťka plechu, |
|
|
je výsledek výpočtu přídavku na ohyb. |
Platí-li pro úhel nerovnice:
použije se výraz:

Výraz přídavku na ohyb umožňuje stanovit celkovou rozvinutou délku pomocí výrazu:
kde:
|
|
je celková rozvinutá délka, |
|
|
je délka první ohnuté plochy, |
|
|
je délka druhé ohnuté plochy |
|
|
je výsledek výpočtu přídavku na ohyb. |
Definovaný výraz je uveden k přímému řešení přídavku na ohyb. KSoučinitel může být odvozen z následujícího výrazu:


Stanovení celkové rozvinuté délky pomocí KSoučinitele používá výraz:
kde:
|
|
je celková rozvinutá délka, |
|
|
je délka první ohnuté plochy, |
|
|
je délka druhé ohnuté plochy |
|
|
je výsledek výpočtu přídavku na ohyb. |
Přídavek na ohyb je počítán pomocí následující rovnice: