Pokud kreslíte vyhlazenou lomenou čáru, snažte se používat co nejjednodušší čáry (nebo kombinaci čar).
Může být například potřeba vytvořit čáru, která vypadá podobně jako následující obrázek

Můžete vytvořit tuto čáry pomocí kombinace oblouků a přímek nebo můžete použít vyhlazenou lomenou čáru. Linie, které jsou nakresleny pomocí vyhlazených lomených čar vyžadují delší dobu zpracování, proto se doporučuje použít kombinaci oblouků a přímek namísto vyhlazených lomených čar vždy, když je to možné.
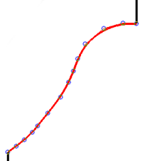
Pokud je nezbytné vytvořit linii pomocí vyhlazené lomené čáry, měli byste používat co nejméně řídicích bodů, aby byla doba zpracování co nejkratší. Následující obrázek ukazuje vyhlazenou lomenou čáru, která byla nakreslena výběrem mnoha řídicích bodů (modré body).

Stejnou vyhlazenou lomenou čáru můžete nakreslit s využitím méně řídicích bodů, jak je ukázáno.
