Trvalou elektroinstalaci lze vytvořit libovolným z těchto dvou způsobů:
Převést na drátový. Po vytvoření trvalé elektroinstalace zůstane elektroinstalace viditelná v pohledu, když není vybrán obvod.
panel Elektroinstalace. Přidání elektroinstalace do projektu je volitelné. Obvody můžete vytvořit bez elektroinstalace; aplikace Revit zachová inteligenci asociovanou s obvodem. K určení typu vodiče použitého v obvodu můžete použít vlastnosti obvodu. Viz část Vlastnosti obvodu.
Převod dočasného obvodu na trvalou elektroinstalaci
Výběr typu elektroinstalace pro obvod
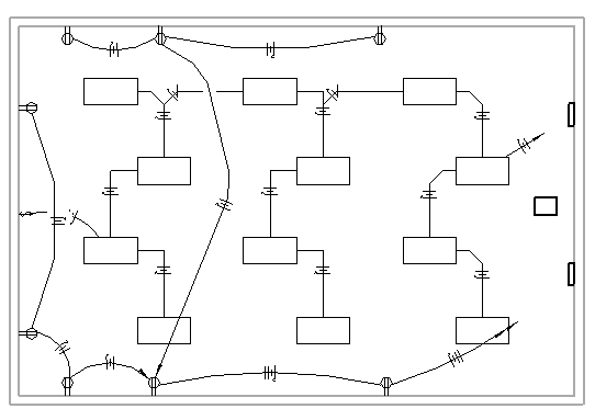
Oblouková elektroinstalace se často používá k vyjádření elektroinstalace, která je skryta ve stěnách, stropech nebo podlahách.
Zkosená elektroinstalace se často používá k vyjádření nezakryté elektroinstalace.
V následujícím příkladu připojí oblouk elektroinstalace zásuvky a zkosená elektroinstalace připojí osvětlovací tělesa.
