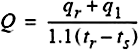
Když prostor nad stropem slouží jako cesta zpětného vzduchu, stává se stropním volným prostorem pro zpětný vzduch. Na rozdíl od tradičního kanálového zpětného vedení může být v cestě volného prostoru více zdrojů tepla. Těmito zdroji tepla mohou být sálavá a konvekční zatížení z osvětlení a transformátorů, zatížení vedení z přilehlých stěn, střech nebo zasklení nebo systémů potrubí a trubek uvnitř volného prostoru. Následující rovnice znázorňují způsob výpočtu teplot a přenosu tepla pro volné prostory v modulu:
(35)
(36)
(37)
(38)
(39)
kde
= přírůstek tepla v prostoru stropem z volného prostoru, Btu/h
= tepelná ztráta z volného prostoru podlažím výše, Btu/h
= „příjem“ přírůstku tepla zpětným vzduchem, Btu/h
= zpětný tok vzduchu, Btu/h
= přírůstek tepla z osvětlení ve volném prostoru zpětným vzduchem, Btu/h
= přírůstek tepla z osvětlení v prostoru, Btu/h
= přírůstek tepla z volného prostoru níže podlažím, Btu/h
= přírůstek tepla z vnější stěny, Btu/h
= zátěž chlazení včetně příslušného zpracování operátorů
,
nebo
, Btu/h
= teplota volného prostoru, °F
= teplota prostoru, °F
= teplota prostoru podlaží výše, °F
= teplota přívodu, °F

Schematický diagram typického volného prostoru pro zpětný vzduch