Übertragenes Drehmoment
Dabei gilt:
|
P |
Leistung [kW] |
|
|
n |
Drehzahl [U/min] |
Berechnung des minimalen Wellendurchmessers
1. Innendurchmesser der Welle d h > 0
a) 
b) wenn d min ≤ d h -> d min = 1.1 d h [mm]
c) wenn d min ≤ 1.5 d h -> d min = 1.5 d h [mm]
2. Innendurchmesser der Welle d h = 0

Dabei gilt:
|
d min |
Minimaler Wellendurchmesser [mm] |
|
|
d h |
Innendurchmesser der Welle [mm] |
|
|
T |
Drehmoment [Nm] |
|
|
K a |
Anwendungskoeffizient |
|
|
K f |
Gebrauchsermüdungskoeffizient |
|
|
S v |
Angestrebte Sicherheit |
|
|
τ A |
Zulässige Scherspannung |
Allgemeine Berechnung
|
|
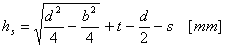
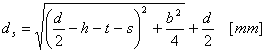
Bereich der Kraft an der Welle |
|
h k = h - h s - 2 s [mm] |
Bereich der Kraft an der Nabe |
![]() |
Wellendurchmesser des Bereichs der Kraft |
![]() |
Nabendurchmesser des Bereichs der Kraft |
|
|
Kraft an der Welle |
|
|
Kraft an der Nabe |
|
Dabei gilt: |
|
T |
Drehmoment [Nm] |
|
|
F s |
Kraft an der Welle [N] |
|
|
F h |
Kraft an der Nabe [N] |
|
|
K a |
Anwendungskoeffizient |
|
|
K f |
Gebrauchsabnutzungskoeffizient |
|
|
K w |
Anwendungskoeffizient |
|
|
K m |
Koeffizient für Lastverteilung |
|
|
S v |
Angestrebte Sicherheit |
|
|
d |
Wellendurchmesser [mm] |
|
|
d s |
Wellendurchmesser mit Krafteinwirkung F s [mm] |
|
|
d h |
Wellendurchmesser mit Krafteinwirkung F d [mm] |
|
|
N |
Anzahl der Nuten [-] |
|
|
h |
Höhe der Nut |
|
|
h s |
Höhe des Kraftpunkts an der Welle [mm] |
|
|
h h |
Höhe des Kraftpunkts an der Nabe [mm] |
|
|
b |
Nutbreite [mm] |
|
|
t |
Nuttiefe in der Welle [mm] |
|
|
s |
chamfer |
|
|
p Dmins |
Minimal zulässiger Druck (Nut, Welle) [MPa] |
|
|
p Dminh |
Minimal zulässiger Druck (Nut, Nabe) [MPa] |
Minimale Länge der Feder zum Übertragen des Drehmoments
|
1. Feste Verbindung: |
a) |
|
b) |
|
|
L min = min(L mins , L minh ) |
|
|
2. Flexible Verbindung: |
a) |
|
b) |
|
|
L min = min(L mins , L minh ) |
|
|
Dabei gilt: |
|
F s |
Kraft an der Welle [N] |
|
|
F h |
Kraft an der Nabe [N] |
|
|
K a |
Anwendungskoeffizient |
|
|
K f |
Gebrauchsabnutzungskoeffizient |
|
|
K w |
Anwendungskoeffizient |
|
|
K m |
Koeffizient für Lastverteilung |
|
|
S v |
Angestrebte Sicherheit |
|
|
d |
Wellendurchmesser [mm] |
|
|
N |
Anzahl der Nuten [-] |
|
|
h s |
Höhe des Kraftpunkts an der Welle [mm] |
|
|
h h |
Höhe des Kraftpunkts an der Nabe [mm] |
|
|
p Dmins |
Minimal zulässiger Druck (Nut, Welle) [MPa] |
|
|
p Dminh |
Minimal zulässiger Druck (Nut, Nabe) [MPa] |
Minimal zulässiger Druck
|
1. Feste Verbindung: |
a) |
|
b) |
|
|
2. Flexible Verbindung: |
a) |
|
b) |
|
|
Dabei gilt: |
|
F s |
Kraft an der Welle [N] |
|
|
F h |
Kraft an der Nabe [N] |
|
|
K a |
Anwendungskoeffizient |
|
|
K f |
Gebrauchsabnutzungskoeffizient |
|
|
K w |
Anwendungskoeffizient |
|
|
K m |
Koeffizient für Lastverteilung |
|
|
S v |
Angestrebte Sicherheit |
|
|
d |
Innendurchmesser des Nutquerschnitts [mm] |
|
|
N |
Anzahl der Nuten [-] |
|
|
h s |
Höhe des Kraftpunkts an der Welle [mm] |
|
|
h h |
Höhe des Kraftpunkts an der Nabe [mm] |
|
|
l f |
Wirksame Federlänge [mm] |
Festigkeitskontrolle
p mins ≤ p Ds
p minh ≤ p Dh
Dabei gilt:
|
p mins |
Minimaler berechneter Schubdruck in der Welle [Mpa] |
|
|
p minh |
Minimaler berechneter Schubdruck in der Nabe [Mpa] |
|
|
p Ds |
Zulässiger Druck in der Welle [Mpa] |
|
|
p Dh |
Zulässiger Druck in der Nabe [Mpa] |
Vereinfachte Berechnung
Minimale Länge der Feder zum Übertragen des Drehmoments
|
1. Feste Verbindung: |
![]() |
|
2. Flexible Verbindung: |
![]() |
|
Dabei gilt: |
|
T |
Drehmoment [Nm] |
|
|
K a |
Anwendungskoeffizient |
|
|
K f |
Gebrauchsabnutzungskoeffizient |
|
|
K w |
Anwendungskoeffizient |
|
|
K m |
Koeffizient für Lastverteilung |
|
|
S v |
Angestrebte Sicherheit |
|
|
d |
Wellendurchmesser [mm] |
|
|
N |
Anzahl der Nuten [-] |
|
|
h |
Höhe der Nut |
|
|
s |
chamfer |
|
|
h st |
Verbindungshöhe h st = h - 2 s [mm] |
|
|
p Dmin |
Zulässiger Druck auf die tragende Fläche von Welle, Nut oder Nabe [MPa] |
Zulässiger Druck
|
1. Feste Verbindung: |
![]() |
|
2. Flexible Verbindung: |
![]() |
|
Dabei gilt: |
|
T |
Drehmoment [Nm] |
|
|
K a |
Anwendungskoeffizient |
|
|
K f |
Gebrauchsabnutzungskoeffizient |
|
|
K w |
Anwendungskoeffizient |
|
|
K m |
Koeffizient für Lastverteilung |
|
|
S v |
Angestrebte Sicherheit |
|
|
d |
Wellendurchmesser [mm] |
|
|
N |
Anzahl der Nuten [-] |
|
|
h |
Höhe der Nut |
|
|
s |
chamfer |
|
|
h st |
Verbindungshöhe h st = h - 2 s [mm] |
|
|
l f |
Wirksame Federlänge [mm] |
Festigkeitskontrolle
p min ≤ p Ds
p min ≤ p Dh
Dabei gilt:
|
p min |
Minimaler berechneter Druck h/2 [MPa] |
|
|
p Ds |
Zulässiger Druck in der Welle [Mpa] |
|
|
p Dh |
Zulässiger Druck in der Nabe [Mpa] |