Das Yeoh-Materialmodell ist ein hyperelastisches Materialmodell, das für 2D-, Ziegel- und Tetraederelemente verfügbar ist. Die Materialeigenschaften sind weiter unten aufgeführt.
Klicken Sie im Dialogfeld Elementenmaterial Angeben auf die Schaltfläche Kurvenanpassung, und verwenden Sie die Prozedur Kurve einpassen. Diese Prozedur berechnet die Materialkonstanten anhand der gemessenen Spannungs-/Dehnungsdaten.
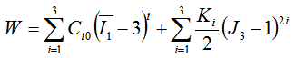
Die Potenzialfunktion des Yeoh-Materials lautet wie folgt:
Dabei gilt:
steht für die erste deviatorische Dehnungsinvariante.
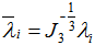
steht für die deviatorischen Dehnungen.
steht für die Hauptdehnungen.
steht für das Gesamtvolumenverhältnis. |
Anmerkung:
|
Das anfängliche Schermodul µ0 kann wie folgt abgeleitet werden: µ0 = 2C10 . K1 = κ0 , das Kompressionsmodul. |