Fehler und Probleme in Strukturen und Komponenten führen manchmal zu verheerenden Ergebnissen, obwohl die Spannungshöhe in einer fehlerfreien Struktur auf einen zufriedenstellenden Entwurf hindeutet. Die Studie von Rissbildung und -wachstum ist ein kompliziertes Thema, bei dem Physik, Chemie, Mechanik usw. eine Rolle spielen. Das technische Gebiet der Bruchmechanik wurde geschaffen, um grundlegende Kenntnisse von solchen Problemen der Rissausbreitung zu entwickeln. Beispielsweise möchten Ingenieure in der Regel die Bedingungen kennen, unter denen ein vorhandener Bruch weiter wächst.
Die Bruchanalyse unterstützt die folgenden Funktionen:
- 2D- und 3D-Quadermodelle mit elastischen und elasto-plastischen nichtlinearen Materialien. Die Elemente können Mittelknoten aufweisen. Tetraederelemente werden für linear statische Analysen und MES-Analysen unterstützt.
- Folgende Analysetypen werden unterstützt:
- Statische Spannung mit linearen Materialmodellen
- Mechanischer Ereignissimulator (MES)
- Statische Spannung mit nichtlinearen Materialien
- MES Riks Analyse
- Thermolasten
- Dynamische Lasten und Effekte (obwohl einige der Analyseverfahren auf einer quasi-statischen Theorie basieren).
- Die Faktoren Richtung des Risswachstums und Spannungsüberhöhung basierend auf dem Frequenzabstand.
Außerdem basiert die Theorie der eingebauten Bruchmechanik auf Folgendem:
- Die Risse verlängern sich nicht während der Analyse.
- Auf die Flächen mit dem Riss sind keine Lasten angewendet.
Verfahren
Die Bruchanalyse ist eine Nachbearbeitungsfunktion. Dies bedeutet, dass die Spannungsanalyse zuerst ausgeführt wird. Die Bruchanalyse wird mit den vorhandenen Ergebnissen in der Umgebung Ergebnisse (Nachbearbeitung) durchgeführt. Die grundlegenden Schritte zum Durchführen einer Bruchanalyse sind wie folgt:
- Erstellen Sie ein Netz des Modells mit dem Riss oder Fehler. Der Riss ist eine Trennung zwischen Elementen. Die Spitze des Bruchs sollte ein scharfer Punkt sein. Siehe Abbildung 1.
- Führen Sie eine Spannungsanalyse durch.
- Definieren Sie die Parameter des Risses oder der Risse in der Umgebung Ergebnisse mit der Strukturansicht.
- Führen Sie die Bruchanalyse über die Umgebung Ergebnisse aus.
- Überprüfen Sie die Ergebnisse.
|
Ein Bauteil mit einem Riss (verstärkt)
|
|
Detail des Netzes um den Riss.
|
| |
| Legende: |
Der im Bauteil modellierte Riss. |
| |
Knoten auf der Rissfront (oder Rissspitze) |
| |
Ungefähre Richtung der Bruchfortpflanzung. |
|
Abbildung 1: Terminologie für Brüche
|
Definieren des Bruchs
Die Parameter, die jedem Riss zugeordnet sind, werden in der Umgebung Ergebnisse über die Verzweigung Bruchanalyse in der Strukturansicht eingegeben. Klicken Sie mit der rechten Maustaste auf die Verzweigung, und wählen Sie Neu aus, um einen Riss hinzuzufügen (oder Bearbeiten, um eine vorhandene Rissdefinition bearbeiten). Mit diesen Aktionen wird das Dialogfeld Bruchspaltendefinition geöffnet. Die Eingabe erfolgt auf den folgenden Registerkarten: (Siehe auch Abbildung 1).
Registerkarte Vorne
Die Registerkarte Vorne wird verwendet, um die Knoten, die zum Riss gehören (Rissfront), und die ungefähre Richtung, in die der Riss wächst, anzugeben.
- Verwenden Sie den Befehl Auswahl, um die Knoten an der Spitze des Risses auszuwählen. Wenn Mittelknoten im Teil enthalten sind, müssen diese Knoten ebenfalls ausgewählt werden. Ein bestimmter Knoten kann nicht mehr als einem Bruch zugewiesen werden.
- Klicken Sie auf die Schaltfläche Hinzufügen, um die Knoten der Liste hinzuzufügen.
- Mit den Spalten für die Fortpflanzungsrichtung X, Y und Z geben Sie die virtuelle Rissausbreitungsrichtung (die Richtung lotrecht zur Rissfront) an. Diese Richtung wirkt sich auf die Ergebnisse aus, insbesondere auf die Berechnungen von KI und KII. Im Allgemeinen erzeugen die Richtung lotrecht zu der Ebene des Risses, die tangentiale Richtung der Rissfront und diese virtuelle Ausbreitungsrichtung einen orthogonalen Rahmen. Siehe Abbildung 2.
|
|
|
Ein Schnitt durch die Ebene des Risses. Achse N ist lotrecht zur Ebene des Risses. Achse T ist an jedem Punkt tangential zum Riss. (Die Rissfront ist in Rot dargestellt.) Achse V ist die virtuelle Rissausbreitungsrichtung und ist lotrecht zu N und T.
Abbildung 2: Virtuelle Ausbreitungsrichtung
|
Tipp: Wenn die Richtung des Risswachstums für alle Knoten gleich ist, geben Sie die Richtungen X, Y und Z für die erste Zeile ein. Markieren Sie dann die Zeile, klicken Sie mit der rechten Maustaste, und wählen Sie Kopiert Richtung zu Anderen. Wenn die Richtung für eine Reihe von aufeinanderfolgenden Knoten gleich ist, sich aber in Gruppen ändert, fügen Sie den ersten Knoten der Liste hinzu, geben Sie die Richtung ein, und fügen Sie dann die übrigen Knoten aus der Gruppe der Liste hinzu. Die Rissrichtung der neu hinzugefügten Knoten ist auf die gleiche Richtung festgelegt, wie die des letzten Knotens in der Liste. Wiederholen Sie diesen Vorgang für die nächsten Gruppe von Knoten.
- Wenn die Rissfront keinen Anfang und kein Ende aufweist, aktivieren Sie die Option Frontriss ist geschlossen. Beispielsweise ist ein Riss um die Außenseite eines Zylinders durchgehend; daher muss diese Option aktiviert werden. Ein Riss über die Dicke eines Balkens beginnt auf einer Fläche und endet auf der anderen Fläche; diese Option muss nicht aktiviert werden.
Wenn Sie eine Zeile in der Liste Vorne markieren, wird der entsprechende Knoten im Modell hervorgehoben. Verwenden Sie bei Bedarf die Schaltfläche Entfernen, um ausgewählte Zeilen aus der Liste zu entfernen.
Anmerkung:
- Die Reihenfolge der Knoten in der Liste muss der Reihenfolge der Rissfront entsprechen, von einem Ende des Risses zum anderen. Wenn ein Knoten nicht in der richtigen Reihenfolge vorliegt, markieren Sie die Zeile in der Liste, klicken Sie mit der rechten Maustaste, und wählen Sie Nach oben oder Nach unten, um die ausgewählte Zeile zu verschieben.
- Die Knotenliste kann auch basierend auf den X-, Y- oder Z-Koordinaten der Knoten sortiert werden (nicht zu verwechseln mit den Rissfortpflanzungsrichtungen X, Y, Z aus der Liste). Falls nur eine Zeile hervorgehoben ist, wenn Sie mit der rechten Maustaste klicken, sortieren die Optionen Sortieren über - Koordinate die gesamte Liste nach der gewünschten Richtung. Falls mehrere Zeilen ausgewählt sind, wenn Sie mit der rechten Maustaste klicken, sortieren die Optionen Sortieren über - Koordinate nur die ausgewählten Zeilen.
Registerkarte Bereich
Die Bruchanalyse muss lediglich für die Elemente durchgeführt werden, die die Rissspitze umgeben. Sie muss nicht für das gesamte Bauteil oder Modell durchgeführt werden. Verwenden Sie deshalb die Registerkarte Bereich, um anzugeben, welche Elemente in der Analyse verwendet werden. Es gibt zwei Möglichkeiten, um anzugeben, welche Elemente verwendet werden sollen:
- Elementenringe Wenn diese Option aktiviert ist, geben Sie in dieses Feld ein, wie viele Ringe von Elementen um die Rissspitze ausgewählt werden sollen. Wenn Sie eine Zahl eingeben und die EINGABETASTE drücken (oder in der Liste Region klicken), ersetzen die Elemente, aus denen der Ring besteht, die aktuellen Einträge in der Liste. Siehe Abbildung 2. Im Allgemeinen sind 3 oder 4 Elementenringe ausreichend, abhängig von der Netzgröße. (Das Ziel ist die Auswahl der Elemente um die Rissspitze mit einer Spannung, die höher als die Nennspannung ist).
- Angegeben Wenn diese Option aktiviert ist, werden die ausgewählten Elemente der Liste hinzugefügt. Verwenden Sie den Befehl Auswahl, um die Elemente um den Riss auszuwählen. Klicken Sie dann auf die Schaltfläche Hinzufügen, um die Elemente der Liste hinzuzufügen.
Wenn Sie eine Zeile in der Liste Bereich markieren, wird das entsprechende Element im Modell hervorgehoben. Verwenden Sie bei Bedarf die Schaltfläche Entfernen, um ausgewählte Zeilen aus der Liste zu entfernen.
Die Zahlen entsprechen den Elementen, die ausgewählt wären, wenn 1, 2 oder 3 Elementenringe bestimmt sind. (Zwei Ringe würden alle Elemente mit '1' und '2' enthalten; drei Ringe würden alle Elemente mit '1', '2', '3' usw. enthalten).
Abbildung 2: Beispiele von Elementenringen
Registerkarte Ausgabe
Die Registerkarte Ausgabe steuert, welche Berechnungen durchgeführt werden.
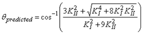
Die Optionen unter Fortpflanzungsrichtungs-Kriterium steuern, welche Theorie zum Berechnen der Richtung des Risswachstums verwendet wird. Diese Kriterien sagen leicht unterschiedliche Winkel für die anfängliche Rissfortpflanzung voraus, aber sie haben alle die Folge, dass KII = 0 an der Rissspitze gilt, während sich der Riss ausdehnt. Folgende Optionen sind verfügbar:
- Max. Tangentialspannung Dieses Kriterium wird auch als maximale Ringspannung bezeichnet. Die Richtung des Risswachstums wird unter der Annahme ermittelt, dass der Riss sich in die Richtung mit
an der Rissspitze fortpflanzt. Bei der Simulation der Bruchanalyse, insbesondere bei der numerischen Analyse, wird die Richtung wie folgt berechnet:
wobei ϑ
vorhergesagt
< 0, wenn KII > 0, oder ϑ
vorhergesagt
> 0, wenn KII < 0, und KI und KII sind die Spannungsüberhöhungsfaktoren für Modus I bzw. Modus II. Der ϑ
vorhergesagte
Fortpflanzungswinkel bezieht sich auf die Rissebene.
- Max. Energiefreisetzung Hayashi und Nemat-Nasser (1981) haben eine Reihe von richtungsabhängigen Koeffizienten c
ij
bereitgestellt. An der Rissspitze können die Spannungsüberhöhungsfaktoren für verschiedene Richtungen folgendermaßen ausgedrückt werden
Darüber hinaus:
Die Kriterium der maximalen Energiefreisetzung fordert, dass der Riss in die Richtung wächst, in der G
k
maximiert wird.
- KII = 0: Dieses Kriterium fordert, das ein Riss in die Richtung wächst, für die gilt
in den Gleichungen
Anmerkung: Die Berechnungen der Rissfortpflanzung gelten nur für elastische Modelle in einer quasi-statischen Last. Ergebnisse werden für andere Situationen erzeugt (Plastizität und dynamische Analysen), aber die Ergebnisse weichen abhängig vom Umfang der nichtlinearen und dynamischen Effekte von der Realität ab.
Die Bruchberechnen können für die ausgewählten Lastfälle oder Zeitschritte durchgeführt werden, statt eine vollständige Analyse vorzunehmen. Geben Sie den ersten und den letzten Lastfall/Zeitschritt, die analysiert werden sollen, in die Felder Anfang und Ende ein. In der Regel müssen nur die Lastfälle/Zeitschritte in der Nähe der höchsten Spannungen analysiert werden.
Tipp: Falls ein Riss bereits Ergebnisse aufweist und geändert wird, wird ein Bestätigungsdialogfeld angezeigt, wenn Sie auf die Schaltfläche
OK klicken, um die Bruchspaltendefinition zu schließen. Mit der Bestätigungsmeldung werden Sie darauf hingewiesen, dass die Ergebnisse gelöscht werden. Sie haben die Möglichkeit, den Vorgang fortzusetzen oder nicht. Das Bestätigungsdialogfeld enthält auch das Kontrollkästchen
Diese Warnung nicht mehr anzeigen. Wenn das Kontrollkästchen aktiviert ist, werden Ergebnisse automatisch gelöscht, wenn der Riss geändert wird. Um die Anzeige des Bestätigungsdialogfelds erneut zu aktivieren, verwenden Sie die Registerkarte

Optionen
Ergebnisse, und aktivieren Sie die Option
Warnung anzeigen, wenn Bruchanalyseergebnisse ungültig werden aufgrund von Änderungen an den Rissdefinitionen.
Anmerkung: Die Eingabe wird zwischen Sitzungen gespeichert. Wenn das Modell geändert wird, gelten die zuvor eingegebenen Knoten- und Elementnummern unter Umständen nicht mehr für das neue Modell.
Durchführen von Bruchanalysen
Um alle definierten Risse zu analysieren, klicken Sie mit der rechten Maustaste auf die Verzeigung Bruchanalyse in der Strukturansicht, und wählen Sie Alles analysieren aus. Um einzelne Risse zu analysieren, wählen Sie die Risse in der Strukturansicht aus, klicken Sie mit der rechten Maustaste, und wählen Sie Analysieren aus. Durch das Analysieren von ausgewählten Risse werden die Ergebnisse für andere Risse nicht gelöscht. Die Bruchanalyse für ein MES-Modell kann deutlich langsamer sein als in einem statischen Modell, da bei der Bruchanalyse die Geschwindigkeit und Beschleunigung für jeden Schritt berechnet wird.
Die Ergebnisse für jeden Riss werden in eine separate Datei geschrieben, und dann werden alle Rissergebnisse kombiniert. Die Umgebung Ergebnisse liest die Ergebnisse aus der kombinierten Datei. Falls ein Riss gelöscht oder geändert wird (klicken Sie mit der rechten Maustaste auf den Eintrag in der Strukturansicht, und wählen Sie Löschen oder Bearbeiten), müssen die Ergebnisse für die anderen Risse neu kombiniert werden. Diese Aktionen können zu einer deutlichen Verzögerung führen.
Anzeigen der Ergebnisse
Nachdem die Bruchanalyse abgeschlossen ist, enthält der Bereich Ergebniskonturen
Andere Ergebnisse die folgenden Objekte:
- Bruch: Integral J: Zeigt die Ergebnisse für Integral J an (die Rate der Dehnungsenergiefreisetzung von nichtlinearen elastischen Materialien). Die Theorie von Integral J geht davon aus, dass die Berechnung nur für monotone Lasten von elastisch-plastischen Materialien geeignet ist.
- Bruch: Spannungsüberhöhungsfaktor KI, KII und KIII: Zeigen die Spannungsüberhöhungsfaktoren für die drei Verformungsmodi an (siehe Abbildung 3). Durch den Vergleich des Spannungsüberhöhungsfaktors mit dem entsprechenden kritischen Spannungsüberhöhungsfaktor (oder der Bruchzähigkeit) wird festgestellt, ob sich der Bruch fortpflanzt.
Anmerkung: Die Ergebnisse des Spannungsüberhöhungsfaktors gelten nur für elastische Modelle in einer quasi-statischen Last. Ergebnisse werden für andere Situationen erzeugt (Plastizität und dynamische Analysen), aber die Ergebnisse weichen abhängig vom Umfang der nichtlinearen und dynamischen Effekte von der Realität ab.
- Bruch: Richtung des Risswachstums: Zeigt die berechnete Richtung des Risswachstums als Einheitslängenvektor an.
|
(a) Modus I: Spannung.
|
(b) Modus II: Scherung in der Ebene
|
(c) Modus III: Scherung außerhalb der Ebene
|
|
Abbildung 3: Verformungsmodi
|
Alle Ergebnisse werden als Vektorpfeile an den Knoten angezeigt, die entlang der Rissfront definiert sind. Die Größe und die Farbe der Pfeile stellen die Größe des ausgewählten Ergebnisses dar. Die Richtung des Pfeils stellt die Richtung des Risswachstums dar.
Tipp: Wählen Sie einen Knoten aus (
Auswahl
Auswählen
Knoten), und fragen Sie die Ergebnisse ab (
Ergebnisse abfragen
Abfragen
Aktuelle Ergebnisse), um die Rissfortpflanzungsrichtung und die Größe des Ergebnisses zu erhalten. Die Komponenten der Ergebnisse sind die Richtungskomponenten der Rissfortpflanzung multipliziert mit dem Ergebnis. Die Richtung der Pfeile ändert sich also um 180 Grad, wenn das angezeigte Ergebnis negativ ist. Das Ergebnis selbst ist kein Vektor und verfügt nicht über Komponenten.
Häufige Fehlermeldungen bei der Bruchanalyse
Die Knoten der Rissspitze müssen in der Reihenfolgen von einem Ende zum nächsten aufgeführt sein. Der Mittelknoten muss für Elemente der 2. Ordnung enthalten sein. Knoten an der Rissfront dürfen nicht übersprungen werden.
- Die Knoten für den angegebenen Riss wurden nicht in fortlaufender Reihenfolge entlang der Länge des Risses eingegeben. Wenn sie verwendet werden, nehmen Sie die Mittenknoten in die Liste auf. Bearbeiten Sie den Riss, und überprüfen Sie die Liste der Knoten auf der Registerkarte Vorne. Markieren Sie die einzelnen Zeilen in der Liste, um zu sehen, welcher Knoten im Modell ausgewählt ist. (Die Knoten sind im Modell leichter zu erkennen, wenn Sie das Modell ohne Schattierung anzeigen: Ansicht
Darstellung
Visueller Stil
Funktionen oder Ansicht
Darstellung
Visueller Stil
Netz.) Die erste Zeile sollte einen Knoten an einem Ende des Risses markieren, die zweite Zeile sollte den nächsten Knoten markieren usw. Wenn Sie einen Knoten finden, der nicht an der richtigen Position ist, klicken Sie mit der rechten Maustaste auf die markierte Zeile, und wählen Sie Nach oben oder Nach unten aus, um die Position des Knotens in der Liste zu verschieben.
Der Elementtyp n wird für Bruchanalysen nicht unterstützt
- Zu den ausgewählten Elementen an der Rissspitze gehören Typen, die nicht unterstützt werden (z. B. Schalen). Nur 2D- und Quaderelemente werden unterstützt. Linear statische Analysen und MES-Analysen unterstützen auch Tetraederelemente.