The Anisotropic Rotary Diffusion (ARD) model is an option for calculating fiber orientation when performing a fiber orientation analysis using a long-fiber composite material.
Fibers longer than 1 mm are generally considered as long fibers. Usually, the fiber alignment in the flow direction is weaker in long-fiber materials than in short-fiber materials in injection-molded parts. The isotropic diffusion used in the Folgar-Tucker and Reduced Strain Closure models is unable to capture the behavior of fiber-fiber interactions in long-fiber materials and cannot accurately predict all fiber orientation components simultaneously.
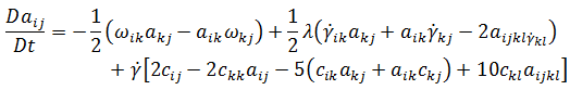
The isotropic diffusion was replaced with the anisotropic rotary diffusion (ARD), which is defined on the surface of the unit sphere traced by all orientations of the unit vector, developed by Phelps and Tucker:

Here, the rotary diffusion tensor
is assumed as a quadratic function of
and
and is defined as:

where each is a scalar constant, and its values are determined by matching experimental steady-state orientation and requiring stable orientation. Setting and reduces the ARD model to the Folgar-Tucker model.
The RSC version of the ARD model (ARD-RSC model) is also developed as:
Phelps, J. and C. L. Tucker III, An Anisotropic Rotary Diffusion Model for Fiber Orientation in Short- and Long-Fiber Thermoplastics. Journal of Non-Newtonian Fluid Mechanics 156(3): 165–176 (2009).