The underfill viscosity model, which is a modification of the Herschel-Bulkley-WLF viscosity model for reactive materials, is used specifically for underfill encapsulants.
The underfill viscosity model includes an additional term,
(thickness), as described below: 
where
is the viscosity (Pa. sec.)
is the cavity thickness (meter)
is the viscosity at a reference thickness
, and
and
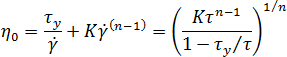
are data-fitted coefficients. The viscosity at the reference thickness can be obtained from the following equation: 
where
is the viscosity (Pa s)
is the shear rate (1/s)
is the temperature (K)
is the degree of cure (0–1), and
,
,
,
,
,
,
,
and
(gelation conversion) are data-fitted coefficients.