Select the Combination Sign tab in the Analysis types dialog to define the sign of the generated combination in the case of seismic and spectral analysis.

The top part of the dialog consists of the following fields.
Click Set to ascribe the selected mode to the seismic or spectral case.
The middle part of the dialog contains a table for the seismic and spectral analyses of the current structure. For each type of analysis, the table presents the following data.
If a main mode is set to 0, then the combination sign calculated from the formula for calculating CQC or SRSS combinations will be assumed.
The bottom part of the dialog box selects the Default type of seismic calculations to be applied in the case of seismic combination:
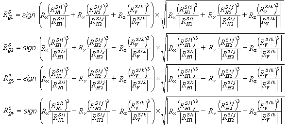
The formulas that allow evaluating a quadratic combination signed RQ for the directions H1, H2 and V:

where:

RH1 - Quadratic response of the quantity calculated from all modal responses of a seismic or spectral case for the first horizontal direction.
RH2 - Quadratic response of the quantity calculated from all modal responses of a seismic or spectral case for the second horizontal direction.
RV - Quadratic response of the quantity calculated from all modal responses of a seismic or spectral case for the vertical direction.
Rx, Ry, Rz - Coefficients defined as for a quadratic combination in the Direction definition dialog box.