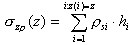
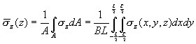
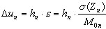
Description of the Algorithm of Calculating the Value of the K Equivalent Coefficient

The process of calculating the K coefficient is as follows.

Calculations are performed until reaching the level Zn:

The calculated stiffness coefficient amounts to K = 1 / ∆u. The K stiffness coefficient corresponds to the unit surface load.