
A las piezas de chapa las define su estado de plegado o funcional, pero se fabrican a partir de una lámina plana. Los pliegues que se despliegan para formar el desarrollo deforman el material en la zona de plegado. La magnitud de la deformación depende de una serie de variables. Para cambiar el modelo plegado a un estado aplanado, es necesario incorporar esta deformación con uno de los tres métodos siguientes:
Utilice ecuaciones personalizadas para especificar exactamente cómo desea introducir el aplanamiento de las zonas de plegado en los modelos de pieza de chapa plegados. Estas ecuaciones personalizadas se definen en una regla de desplegado guardada que se establece a través del cuadro de diálogo Editor de estilos y normas.
Los tipos de ecuaciones que sirven para resolver la deformación aplanada se describen en más detalle en las siguientes secciones.

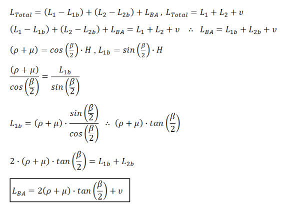
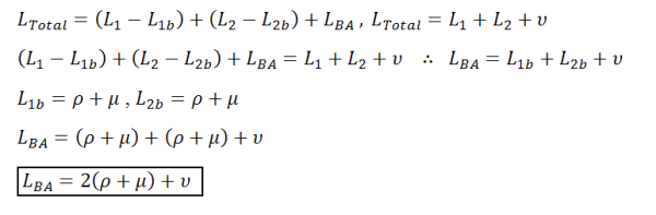
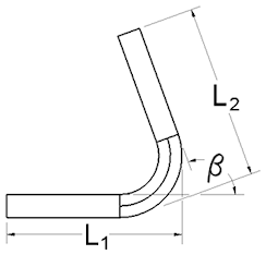
La ecuación de compensación de pliegue permite determinar la longitud total desarrollada a través de la ecuación:
donde:
|
|
es la longitud total desarrollada. |
|
|
es la longitud entre la primera cara detallada y el punto virtual. |
|
|
es la longitud entre la segunda cara detallada y el punto virtual. |
|
|
es el resultado del cálculo de la tolerancia de plegado. |
Inventor calcula la tolerancia de plegado a través de las siguientes ecuaciones. En los casos angulares:
la ecuación usada es:
donde:
|
|
es el ángulo de plegado. |
|
|
es la longitud de la tolerancia de plegado. |
|
|
es el radio interior de la placa de pliegue. |
|
|
en el grosor de la chapa. |
|
|
es el resultado del cálculo de la tolerancia de plegado. |
El resultado de la ampliación de la ecuación original para incluir el cálculo de la tolerancia de plegado es:


En los casos angulares:

Se utiliza la siguiente ecuación:
El resultado de la ampliación de la ecuación original para incluir el cálculo de la tolerancia de plegado es:


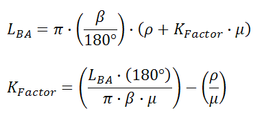
Una vez determinada la tolerancia de plegado, el FactorK se puede obtener a través de:


La ecuación de deducción de pliegue permite determinar la longitud total desarrollada a través de la ecuación:
donde:
|
|
es la longitud total desarrollada. |
|
|
es la longitud entre la primera cara detallada y el punto virtual. |
|
|
es la longitud entre la segunda cara detallada y el punto virtual. |
|
|
es el resultado del cálculo de la tolerancia de plegado. |
La ecuación de deducción de pliegue ofrece un método de cálculo que se puede entender como el método opuesto al de la compensación de pliegue.
Para las deducciones de pliegue, Inventor calcula una tolerancia de plegado usando las siguientes ecuaciones. En los casos angulares:

la ecuación usada es:

donde:
|
|
es el ángulo de plegado. |
|
|
es la longitud de la tolerancia de plegado. |
|
|
es el radio interior de la placa de pliegue. |
|
|
en el grosor de la chapa. |
|
|
es el resultado del cálculo de la tolerancia de plegado. |
En los casos angulares:
la ecuación usada es:

La ecuación de tolerancia de plegado permite determinar la longitud total desarrollada a través de la ecuación:
donde:
|
|
es la longitud total desarrollada. |
|
|
es la longitud de la primera placa de pliegue. |
|
|
es la longitud de la segunda placa de pliegue. |
|
|
es el resultado del cálculo de la tolerancia de plegado. |
Se incluye una ecuación definida para resolver directamente la tolerancia de plegado. El FactorK se puede obtener a partir de la siguiente ecuación:


Para determinar la longitud total desarrollada con el método FactorK se utiliza la ecuación:
donde:
|
|
es la longitud total desarrollada. |
|
|
es la longitud de la primera placa de pliegue. |
|
|
es la longitud de la segunda placa de pliegue. |
|
|
es el resultado del cálculo de la tolerancia de plegado. |
La tolerancia de plegado se calcula utilizando la siguiente ecuación: