
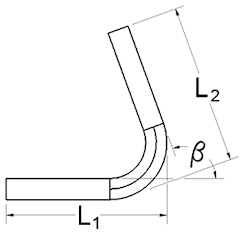
Les pièces en tôle sont souvent définies à l'état plié ou fonctionnel, mais elles sont fabriquées à partir d'une feuille plate. Les plis dépliés pour former la mise à plat déforment la matière dans la zone de pliage. L'étendue de la déformation dépend de plusieurs variables. La transformation d'un modèle plié à l'état aplati nécessite de tenir compte de cette déformation à l'aide de l'une des trois méthodes suivantes :
Utilisez des équations personnalisées pour spécifier de façon précise la représentation de l'aplatissement des zones de pliage dans les modèles pliés de pièces en tôle. Ces équations personnalisées sont définies dans une règle de dépliage nommée définie à l'aide de la boîte de dialogue Editeur de styles et de normes.
Les types d'équation à utiliser pour résoudre la déformation aplatie sont décrits en détails dans les sections suivantes.

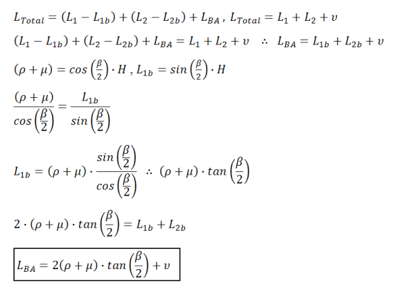
L'équation de compensation du pli permet de déterminer la longueur développée totale à l'aide de l'équation suivante :
où :
|
|
est la longueur développée totale. |
|
|
est la distance entre la première face de détail et le sommet virtuel. |
|
|
est la distance entre la deuxième face de détail et le sommet virtuel. |
|
|
est le résultat du calcul de perte au pli. |
Inventor calcule une perte au pli à l'aide des équations suivantes. Dans les cas angulaires :
l'équation utilisée est :
où :
|
|
est l'angle de pliage. |
|
|
est la longueur de perte au pli. |
|
|
est le rayon interne de la plaque pliée. |
|
|
est l'épaisseur de la tôle. |
|
|
est le résultat du calcul de perte au pli. |
Le développement de l'équation d'origine pour inclure le calcul de perte au pli permet d'obtenir :


Dans les cas angulaires :

L'équation suivante est utilisée :
Le développement de l'équation d'origine pour inclure le calcul de perte au pli permet d'obtenir :


Une fois la perte au pli déterminée, il est possible d'obtenir le FacteurX à l'aide de :


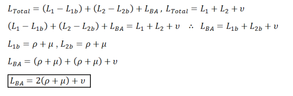
L'équation de déduction du pli permet de déterminer la longueur développée totale à l'aide de l'équation suivante :
où :
|
|
est la longueur développée totale. |
|
|
est la distance entre la première face de détail et le sommet virtuel. |
|
|
est la distance entre la deuxième face de détail et le sommet virtuel. |
|
|
est le résultat du calcul de perte au pli. |
En tant que méthode de calcul, l'équation de déduction du pli peut être considérée comme l'exact contraire de la méthode de compensation du pli.
Dans le cas d'une déduction du pli, Inventor calcule une perte au pli à l'aide des équations suivantes. Dans les cas angulaires :

l'équation utilisée est :

où :
|
|
est l'angle de pliage. |
|
|
est la longueur de perte au pli. |
|
|
est le rayon interne de la plaque pliée. |
|
|
est l'épaisseur de la tôle. |
|
|
est le résultat du calcul de perte au pli. |
Dans les cas angulaires :
l'équation utilisée est :

L'équation de perte au pli permet de déterminer la longueur développée totale à l'aide de l'équation suivante :
où :
|
|
est la longueur développée totale. |
|
|
est la longueur de la première plaque pliée. |
|
|
est la longueur de la deuxième plaque pliée. |
|
|
est le résultat du calcul de perte au pli. |
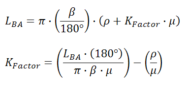
Une équation définie est fournie pour obtenir directement la perte au pli. Il est possible d'obtenir le FacteurX à l'aide de l'équation suivante :


Pour déterminer la longueur développée totale à l'aide la méthode FacteurX, utilisez l'équation suivante :
où :
|
|
est la longueur développée totale. |
|
|
est la longueur de la première plaque pliée. |
|
|
est la longueur de la deuxième plaque pliée. |
|
|
est le résultat du calcul de perte au pli. |
La tolérance de pliage est calculée à l'aide de l'équation suivante :