Couple transféré
où :
|
P |
puissance [kW] |
|
|
n |
vitesse [rpm] |
Calcul du diamètre minimal de l'arbre
1. diamètre interne de l'arbre d h > 0
a) 
b) si d min ≤d h -> d min = 1.1 d h [mm]
c) si d min ≤ 1.5 d h -> d min = 1.5 d h [mm]
2. diamètre interne de l'arbre d h = 0

où :
|
d min |
diamètre minimal de l'arbre [mm] |
|
|
d h |
diamètre interne de l'arbre [mm] |
|
|
T |
couple [Nm] |
|
|
K a |
facteur d'application |
|
|
K f |
facteur de résistance à la fatigue |
|
|
S v |
sécurité souhaitée |
|
|
τ A |
Contrainte de cisaillement admissible |
Calcul général
|
|
plage d'activités de force agissant sur l'arbre |
|
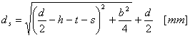
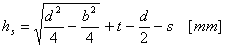
h k = h - h s - 2 s [mm] |
plage d'activités de force agissant sur le moyeu |
![]() |
diamètre d'arbre de la plage d'activités de force |
![]() |
diamètre de moyeu de la plage d'activités de force |
|
|
force agissant sur l'arbre |
|
|
force agissant sur le moyeu |
|
où : |
|
T |
couple [Nm] |
|
|
F s |
force agissant sur l'arbre [N] |
|
|
F h |
force agissant sur le moyeu [N] |
|
|
K a |
facteur d'application |
|
|
K f |
facteur de résistance à l'usure |
|
|
K w |
facteur d'application |
|
|
K m |
facteur de répartition de la charge |
|
|
S v |
sécurité souhaitée |
|
|
d |
diamètre de l'arbre [mm] |
|
|
d s |
diamètre de l'arbre avec force F s en action [mm] |
|
|
d h |
diamètre de l'arbre avec force F d en action [mm] |
|
|
N |
nombre de rainures [-] |
|
|
h |
hauteur de la rainure |
|
|
h s |
hauteur du point d'action de force sur l'arbre [mm] |
|
|
h h |
hauteur du point d'action de force sur le moyeu [mm] |
|
|
b |
largeur de rainure |
|
|
t |
profondeur de la rainure dans l'arbre [mm] |
|
|
s |
chanfrein |
|
|
p Dmins |
pression minimale admissible (rainure, arbre) [MPa] |
|
|
p Dminh |
pression minimale admissible (rainure, moyeu) [MPa] |
Longueur minimale de clavette nécessaire au transfert du couple
|
1. Assemblage fixe : |
a) |
|
b) |
|
|
L min = min(L mins , L minh ) |
|
|
2. Assemblage souple : |
a) |
|
b) |
|
|
L min = min(L mins , L minh ) |
|
|
où : |
|
F s |
force agissant sur l'arbre [N] |
|
|
F h |
force agissant sur le moyeu [N] |
|
|
K a |
facteur d'application |
|
|
K f |
facteur de résistance à l'usure |
|
|
K w |
facteur d'application |
|
|
K m |
facteur de répartition de la charge |
|
|
S v |
sécurité souhaitée |
|
|
d |
diamètre de l'arbre [mm] |
|
|
N |
nombre de rainures [-] |
|
|
h s |
hauteur du point d'action de force sur l'arbre [mm] |
|
|
h h |
hauteur du point d'action de force sur le moyeu [mm] |
|
|
p Dmins |
pression minimale admissible (rainure, arbre) [MPa] |
|
|
p Dminh |
pression minimale admissible (rainure, moyeu) [MPa] |
Pression minimale admissible
|
1. Assemblage fixe : |
a) |
|
b) |
|
|
2. Assemblage souple : |
a) |
|
b) |
|
|
où : |
|
F s |
force agissant sur l'arbre [N] |
|
|
F h |
force agissant sur le moyeu [N] |
|
|
K a |
facteur d'application |
|
|
K f |
facteur de résistance à l'usure |
|
|
K w |
facteur d'application |
|
|
K m |
facteur de répartition de la charge |
|
|
S v |
sécurité souhaitée |
|
|
d |
diamètre interne de la section de rainure [mm] |
|
|
N |
nombre de rainures [-] |
|
|
h s |
hauteur du point d'action de force sur l'arbre [mm] |
|
|
h h |
hauteur du point d'action de force sur le moyeu [mm] |
|
|
l f |
longueur de clavette active [mm] |
Vérification de la force
p mins ≤ p Ds
p minh ≤ p Dh
où :
|
p mins |
pression de cisaillement minimale calculée dans l'arbre [MPa] |
|
|
p minh |
pression de cisaillement minimale calculée dans le moyeu [MPa] |
|
|
p Ds |
pression admissible dans l'arbre [MPa] |
|
|
p Dh |
pression admissible dans le moyeu [MPa] |
Calcul simplifié
Longueur minimale de clavette nécessaire au transfert du couple
|
1. Assemblage fixe : |
![]() |
|
2. Assemblage souple : |
![]() |
|
où : |
|
T |
couple [Nm] |
|
|
K a |
facteur d'application |
|
|
K f |
facteur de résistance à l'usure |
|
|
K w |
facteur d'application |
|
|
K m |
facteur de répartition de la charge |
|
|
S v |
sécurité souhaitée |
|
|
d |
diamètre de l'arbre [mm] |
|
|
N |
nombre de rainures [-] |
|
|
h |
hauteur de la rainure |
|
|
s |
chanfrein |
|
|
h st |
hauteur de l'assemblage h st = h - 2 s [mm] |
|
|
p Dmin |
pression admissible sur une surface de support d'arbre, de rainure ou de moyeu [MPa] |
Pression admissible
|
1. Assemblage fixe : |
![]() |
|
2. Assemblage souple : |
![]() |
|
où : |
|
T |
couple [Nm] |
|
|
K a |
facteur d'application |
|
|
K f |
facteur de résistance à l'usure |
|
|
K w |
facteur d'application |
|
|
K m |
facteur de répartition de la charge |
|
|
S v |
sécurité souhaitée |
|
|
d |
diamètre de l'arbre [mm] |
|
|
N |
nombre de rainures [-] |
|
|
h |
hauteur de la rainure |
|
|
s |
chanfrein |
|
|
h st |
hauteur de l'assemblage h st = h - 2 s [mm] |
|
|
l f |
longueur de clavette active [mm] |
Vérification de la force
p min ≤ p Ds
p min ≤ p Dh
où :
|
p min |
pression h/2 minimale calculée [MPa] |
|
|
p Ds |
pression admissible dans l'arbre [MPa] |
|
|
p Dh |
pression admissible dans le moyeu [MPa] |