Flaws and defects in structures and components sometimes lead to disastrous results even though the stress level in a perfect structure may indicate a satisfactory design. The study of crack initiations and growth is a complicated topic which involves physics, chemistry, mechanics, and so on. The engineering field of fracture mechanics was established to develop a basic understanding of such crack propagation problems. For example, engineers usually want to know the conditions under which an existing crack will continue to grow.
The fracture analysis supports the following features:
Furthermore, the theory of fracture mechanics implemented are based on the following:
Fracture analysis is a post-processing function, meaning that the stress analysis is performed first, and the fracture analysis is performed on the existing results in the Results environment (post-processing). The basic steps to performing a fracture analysis are as follows:
| 
 A part with a crack (exaggerated) | 
 detail of mesh around crack. | |
| Key: |  The crack modeled in the part. | |
|  Nodes on the crack front (or crack tip) | ||
|  Approximate direction of the crack propagation. | ||
| Figure 1: Crack Terminology | ||
The parameters associated with each crack are entered in the Results environment using the Fracture Analysis branch of the tree view. Right-click the branch and choose New to add a crack (or Edit to edit an existing crack definition). These actions open the Fracture Crack Definition dialog. The input is entered on the following tabs: (Refer also to Figure 1.)
The Front tab is used to specify the nodes that belong to a crack (the crack front) and the approximate direction in which the crack will grow.
| 
 | 
| A slice through the plane of the crack. Axis N is perpendicular to the plane of the crack. Axis T is tangent to the crack at each point. (The crack front is shown in red.) Axis V is the virtual crack extension direction and is perpendicular to both N and T. Figure 2: Virtual Extension Direction | 
Highlighting a row in the Front list will highlight the corresponding node on the model. Use the Remove button as needed to remove the selected rows from the list.
Fracture analysis only needs to be performed on the elements surrounding the crack tip. It does not need to be performed on the entire part or model. Therefore, use the Region tab to indicate which elements are used in the analysis. There are two ways to indicate which elements to use:
Highlighting a row in the Region list will highlight the corresponding element on the model. Use the Remove button as needed to remove the selected rows from the list.

The numbers correspond to the elements that would be selected when 1, 2, or 3 rings of elements are designated. (Two rings would include all elements shown with '1' and '2'; three rings would include all elements shown with '1', '2', and '3', and so on.)
Figure 2: Examples of Rings of Elements
The Output tab controls what calculations are performed.
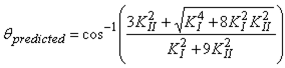
The choices in the Propagation Direction Criterion control which theory is used to calculate the direction of the crack growth. These criteria predict slightly different angles for the initial crack propagation, but they all have the implication that KII = 0 at the crack tip as the crack extends. The options are as follows:

 where ϑ
predicted
< 0 if KII > 0 or ϑ
predicted
 > 0 if KII < 0, and KI and KII are the stress intensity factors for Mode I and Mode II respectively. The propagation angle ϑ
predicted
 is with respect to the crack plane.
where ϑ
predicted
< 0 if KII > 0 or ϑ
predicted
 > 0 if KII < 0, and KI and KII are the stress intensity factors for Mode I and Mode II respectively. The propagation angle ϑ
predicted
 is with respect to the crack plane.   



The fracture analysis can be performed on the chosen load cases or time steps instead of the entire analysis. Enter the first and last load case/time step to be analyzed with the Start and End fields. Generally, only the load cases/time steps around the highest stresses need to be analyzed.

 Options
 Options Results tab and activate the option Display warning message when fracture analysis results become invalid due to changes to crack definitions.
 Results tab and activate the option Display warning message when fracture analysis results become invalid due to changes to crack definitions. To analyze all the defined cracks, right-click the Fracture Analysis branch of the tree view and choose Analyze All. To analyze individual cracks, select the cracks in the tree view, right-click, and choose Analyze. Analyzing selected cracks does not delete the results for other cracks. The fracture analysis on an MES model may be noticeably slower than on a static model since the fracture analysis computes the velocity and accelerations for each step.
The results for each crack are written to a separate file, and then all the crack results are combined together. The Results environment reads the results from the combined file. If a crack is deleted or modified (right-click the entry in the tree view, then Delete or Edit), the results for the other cracks need to be recombined. These actions could produce a noticeable delay.
After the fracture analysis is completed, the Results Contours Other Results panel will contain the following items:
 Other Results panel will contain the following items: 
| 
 (a) Mode I: tension. | 
 (b) Mode II: in-plane shear | 
 (c) Mode III: out-of-plane shear | 
| Figure 3: Deformation Modes | ||
All the results are displayed as vector arrows at the nodes defined along the crack front. The magnitude and color of the arrows represent the magnitude of the selected result. The direction of the arrow represents the direction of the crack growth.
 Select
 Select Nodes) and inquire on the results (Results Inquire
 Nodes) and inquire on the results (Results Inquire Inquire
 Inquire Current Results) to get the crack propagation direction and the magnitude of the result. The components of the results are the direction components of the crack propagation, multiplied by the result. Thus, the direction of the arrows will change by 180 degrees when the displayed result is negative. The result itself is not a vector and does not have components.
 Current Results) to get the crack propagation direction and the magnitude of the result. The components of the results are the direction components of the crack propagation, multiplied by the result. Thus, the direction of the arrows will change by 180 degrees when the displayed result is negative. The result itself is not a vector and does not have components. The crack tip node must be listed in order from one end to another. The mid-side node must be included for second-order elements. No nodes along the crack front can be skipped!
 Appearance
 Appearance Visual Style
 Visual Style Features or View
 Features or View Appearance
 Appearance Visual Style
 Visual Style Mesh.) The first row should highlight a node at one end of the crack, the second row should highlight the next node, and so on. When a node is found to be out of order, right-click the highlighted row and choose Move Up or Move Down to move the position of the node within the list.
 Mesh.) The first row should highlight a node at one end of the crack, the second row should highlight the next node, and so on. When a node is found to be out of order, right-click the highlighted row and choose Move Up or Move Down to move the position of the node within the list. The Element Type n is not supported for Fracture Analysis