The Mooney-Rivlin material model is a hyperelastic material model and is available for 2D, brick, tetrahedral, membrane, and shell elements. The Mooney-Rivlin material properties are listed below. In addition to these properties, it may be necessary to define some Isotropic Material Properties.
Click the Curve Fit button on the Element Material Specification dialog to use the Curve Fitting routine. This routine calculates the material constants using measured stress-strain data.
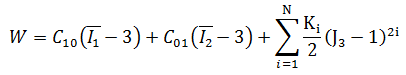
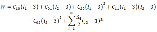
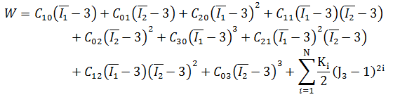
The potential function of the material for different orders is as follows:
2-constant standard:
 
5-constant high-order:
 
9-constant high order:
 
Regardless of the order, the initial shear modulus, µ0, and the bulk modulus, k0, depend only on the polynomial coefficient of order N=1:
μ0 = 2(C10 + C01) , k0 = K1
The Mooney-Rivlin form can be viewed as an extension of the neo-Hookean form in that it adds a term that depends on the second invariant of the left Cauchy-Green tensor. In some cases this form will give a more accurate fit to the experimental data than the neo-Hookean form. In general, however, both models give similar accuracy since they use only linear functions of the invariants. These functions do not allow representation of the "upturn" at higher strain levels in the stress-strain curve.
Bulk Modulus of Elasticity:
The bulk modulus of elasticity can be found from the following equation: E/3*(1-2v) where E is the modulus of elasticity of the material and v is Poisson's ratio of the material.
First and Second Constants:
The Mooney-Rivlin expression sigma=2(C1 + C2/lambda)(lambda-1/lambda^2) can be manipulated to take the following form: sigma/(2(lambda-lambda^(-2)))=C2+lambda^-1+C1 which is analogous to a linear expression of the form y=mx+b where m is the slope which corresponds to the second Mooney-Rivlin constant C2, and b is the y intercept, which corresponds to the first Mooney-Rivlin constant C1. (Higher order material models and the potential equations above refer to the first and second constants as C10 and C01, respectively.)