The External Flow drop-down box has two options. Both are for laminar flow across a flat surface held at a constant temperature ([T]). The difference between the two options is the range of values of the Reynolds and Prandtl numbers. The equations used to calculate the Reynolds and Prandtl numbers are as follows.
 
where:
ρ = Density of the fluid.
U = Characteristic speed of the flow
L = Length scale (input by user in the Geometry tab)
μ = Dynamic viscosity of the fluid
c p = Specific heat of the fluid
k = Thermal conductivity of the fluid
The equations that will be used to calculate the Nusselt number for each option are described below.
[T] Laminar Flow Along Flat Plate (0.6<Pr<50):
[T] Laminar Flow Along Flat Plate (Pr>>1, Re<500k):
The Internal Flow drop-down box has 12 options for three enclosure geometries. These options will include both turbulent and laminar flows and surfaces kept at constant temperatures [T] or heated by a constant heat flux [Q]. For some of these options, the Nusselt number will be calculated from the Reynolds and Prandtl numbers, but some will be independent of these numbers. The equations used to calculate the Reynolds and Prandtl numbers are as follows.

where:
ρ = Density of the fluid.
U = Characteristic speed of the flow
L = Length scale (input by user in the Geometry tab)
μ = Dynamic viscosity of the fluid
c p = Specific heat of the fluid
k = Thermal conductivity of the fluid
The following terms that appear in the descriptions of the flow options are defined as follows:
The equations that will be used to calculate the Nusselt number for each option are described below. All properties for these internal flow equations are evaluated at the bulk temperature, Tb.
[Q] Laminar, Round Pipe (Pr>0.6):
[T] Laminar, Round Pipe (Pr>0.6):
[T] Turbulent, Round Pipe (Re>10k, L/D>10, Hot Wall):
[T] Turbulent, Round Pipe (Re>10k, L/D>10, Cold Wall):
[Q] Laminar, Rectangular Duct (Pr>0.6, Hydro):
[T] Laminar, Rectangular Duct (Pr>0.6, Hydro):
[T] Turbulent, Rectangular Duct (Re>10k, L/D>10, Hot Wall):
[T] Turbulent, Rectangular Duct (Re>10k, L/D>10, Cold Wall):
[Q] Laminar, Triangular Duct (Pr>0.6, Hydro):
[T] Laminar, Triangular Duct (Pr>0.6, Hydro):
[T] Turbulent, Triangular Duct (Re>10k, L/D>10, Hot Wall):
[T] Turbulent, Triangular Duct (Re>10k, L/D>10, Cold Wall):
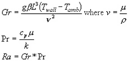
The Buoyancy Flow drop-down box has 8 options for three enclosure geometries. These options will include both turbulent and laminar flows and surfaces kept at constant temperatures [T] or heated by a constant heat flux [Q]. The Nusselt number will be calculated using the Grashof, Prandtl and Rayleigh numbers. The equations used to calculate the Grashof, Prandtl and Rayleigh numbers are as follows.

where:
g = Acceleration due to gravity
β = Thermal expansion coefficient (for ideal gas, β = 1/T where T is the absolute temperature of the gas.)
L = Length scale (average of the Height and Width input by user in the Geometry Tab)
T wall = Wall temperature
T amb = Ambient temperature of fluid
ν = Kinematic viscosity of the fluid
μ = Dynamic viscosity of the fluid
ρ = Density of the fluid
c p = Specific heat of the fluid
k = Thermal conductivity of the fluid
The equations that will be used to calculate the Nusselt number for each option are described below. All properties for these buoyancy equations are evaluated at the film temperature, Tf.
[T] Laminar, Vertical Plate:

[T] Turbulent, Vertical Plate:

[T] Laminar, Horizontal Plate (Facing Up, 100k<Ra<10M): (upper surface of a hot plate, or lower surface of cold plate)
[T] Turbulent, Horizontal Plate (Facing Up, 20M<Ra<30G): (upper surface of a hot plate, or lower surface of cold plate)
[T] Laminar, Horizontal Plate (Facing Down, 300k<Ra<30G): (lower surface of a hot plate, or upper surface of cold plate)
[Q] Laminar, Horizontal Plate (Facing Up, Ra<200M): (upper surface of a hot plate, or lower surface of cold plate)
[Q] Laminar, Horizontal Plate (Facing Up, 500M<Ra<100G): (upper surface of a hot plate, or lower surface of cold plate)
[Q] Laminar, Horizontal Plate (Facing Down, 1M<Ra<100G): (lower surface of a hot plate, or upper surface of cold plate)