The Van der Waals material model is a hyperelastic material model and is available for 2D, brick and tetrahedral elements. The material properties are listed below.
Click the Curve Fit button on the Element Material Specification dialog to use the Curve Fitting routine. This routine calculates the material constants using measured stress-strain data.
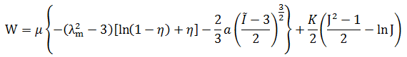
The potential function of the Van der Waals material is as follows:
 
where
 
 
Material Properties:
 
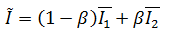
 and
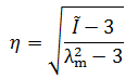
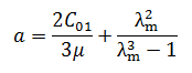
 and  into
 into  . The parameter β represents a linear mixture parameter combining both invariants and the admissible values are 0 ≤ β ≤ 1.
. The parameter β represents a linear mixture parameter combining both invariants and the admissible values are 0 ≤ β ≤ 1.