
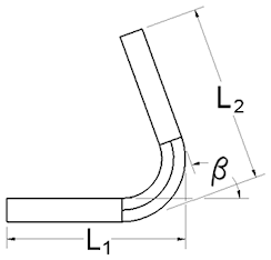
Le parti in lamiera vengono definite dal loro stato piegato o funzionale, ma vengono fabbricate a partire da un foglio piatto. Le pieghe appiattite per formare il modello piatto deformano il materiale nella zona di piega. La quantità di deformazione dipende da alcune variabili. La conversione del modello piegato allo stato appiattito richiede che tale deformazione venga tenuta in considerazione, mediante uno dei seguenti metodi:
Usare equazioni personalizzate per specificare esattamente la modalità di gestione dell'appiattimento delle zone di pieghe nei modelli piegati di parti in lamiera. Queste equazioni personalizzate vengono definite in una regola di spiegatura con nome creata mediante la finestra di dialogo Editor stili e norme.
I tipi di equazioni per la risoluzione della deformazione appiattita vengono descritte in maggior dettaglio nelle sezioni seguenti.

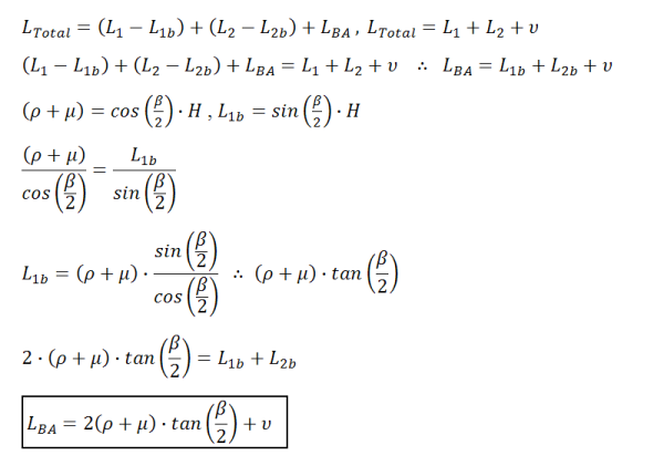
L'equazione di compensazione della piega consente di determinare la lunghezza sviluppata totale mediante l'equazione:
dove:
|
|
è la lunghezza sviluppata totale. |
|
|
è la lunghezza dalla prima faccia di dettaglio alla linea virtuale. |
|
|
è la lunghezza dalla seconda faccia di dettaglio alla linea virtuale. |
|
|
è il risultato del calcolo della tolleranza della piega. |
In Inventor, la tolleranza delle piega viene calcolata mediante le seguenti equazioni. Per gli angoli:
l'equazione usata è:
dove:
|
|
è l'angolo della piega. |
|
|
è la lunghezza della tolleranza della piega. |
|
|
è il raggio interno della piastra della piega. |
|
|
è lo spessore della lamiera. |
|
|
è il risultato del calcolo della tolleranza della piega. |
L'espansione dell'equazione originale per includere il calcolo della tolleranza della piega determina:


Per gli angoli:

Viene utilizzata la seguente equazione:
L'espansione dell'equazione originale per includere il calcolo della tolleranza della piega determina:


Una volta determinata la tolleranza della piega, il fattore K può essere derivato mediante:


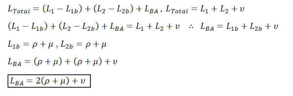
L'equazione di detrazione della piega consente di determinare la lunghezza sviluppata totale mediante l'equazione:
dove:
|
|
è la lunghezza sviluppata totale. |
|
|
è la lunghezza dalla prima faccia di dettaglio alla linea virtuale. |
|
|
è la lunghezza dalla seconda faccia di dettaglio alla linea virtuale. |
|
|
è il risultato del calcolo della tolleranza della piega. |
L'equazione di detrazione della piega offre un metodo di calcolo completamente diverso dal metodo di compensazione della piega.
Per la detrazione di pieghe in Inventor, la tolleranza delle piega viene calcolata mediante le seguenti equazioni. Per gli angoli:

l'equazione usata è:

dove:
|
|
è l'angolo della piega. |
|
|
è la lunghezza della tolleranza della piega. |
|
|
è il raggio interno della piastra della piega. |
|
|
è lo spessore della lamiera. |
|
|
è il risultato del calcolo della tolleranza della piega. |
Per gli angoli:
l'equazione usata è:

L'equazione di tolleranza della piega consente di determinare la lunghezza sviluppata totale mediante l'equazione:
dove:
|
|
è la lunghezza sviluppata totale. |
|
|
è la lunghezza della prima piastra della piega. |
|
|
è la lunghezza della seconda piastra della piega. |
|
|
è il risultato del calcolo della tolleranza della piega. |
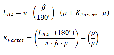
Viene fornita un'equazione definita per risolvere direttamente la tolleranza della piega. Il fattore K può essere derivato dalla seguente equazione:


Per determinare la lunghezza sviluppata totale mediante il fattore K, viene usata la seguente equazione:
dove:
|
|
è la lunghezza sviluppata totale. |
|
|
è la lunghezza della prima piastra della piega. |
|
|
è la lunghezza della seconda piastra della piega. |
|
|
è il risultato del calcolo della tolleranza della piega. |
Per calcolare la tolleranza della piega viene usata la seguente equazione: