Analysis Characteristics
Reference
Massey, Bernard Stanford, Mechanics of Fluids, 3rd Edition, Van Nostrand Reinhold Co, 1975, p. 347.
Problem Description
In this test model, a titanium sphere is dropped through a column of glycerin. The Motion capability is used to predict the terminal velocity of the sphere.
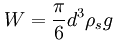
A falling object will reach a terminal velocity when the weight of the object is balanced by the buoyancy and drag forces due to the surrounding fluid:
W = Fb + D
W = the weight of the object
Fb = force due to buoyancy
D = drag force
For a sphere, the three quantities in the equation above are as follows:
The resultant terminal velocity works out to be:
where:
= fluid density
s = solid density
= sphere projection area Geometry and Boundary Conditions
All dimensions are in meters:
The model was solved as axisymmetric.
Results
| Benchmark | 2013: Build 20120131 | % Error | 2014: Build 20130102 | % Error |
| Vt (m/s) = 6.469 | Vt (m/s) = 6.164 | 4.726 | Vt (m/s) = 6.160 | 4.78 |