Flow in a Vacuum (Low Pressure Limit)

Autodesk Simulation CFD provides a numerical solution of the Navier-Stokes (N-S) equations. The N-S equations assume that the fluid can be treated as a continuum. In some vacuum flows or very low pressure flows, the flow is no longer a continuum and individual fluid molecules must be considered. This assumption becomes inaccurate as the characteristic dimension of the flow path drops below 10 times the mean free path of the fluid.

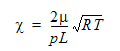
We can characterize the mean free path using, , a non-dimensional value defined as:

The symbols are defined:

Symbol Description
non-dimensional vacuum number
absolute viscosity at STP
p static pressure
L characteristic length (hydraulic diameter)
R gas constant
T temperature

The table below shows the range of for which the Navier-Stokes equations are applicable to the flow:

Range Flow Description
< 0.014 The flow is a continuum and governed by the Navier-Stokes equations
0.014 < <1.0 The flow is slip flow where it slips along surfaces, but can still be approximated by the Navier-Stokes equations.
>1.0 The flow is no longer a continuum and cannot be represented by the Navier-Stokes equations.
Note: There are very few true vacuums in industrial applications. The physical requirements (in terms of the compressor pump and seals) needed to create such a flow environment are extremely demanding, and are simply not practical for most industrial applications. This is why we recommend carefully assessing the situation to understand if a vacuum actually exists or if an approximation will suffice.