Particle Traces

In Autodesk Simulation CFD, you can create particle traces for either massless particles, which follow the flow or for particles with mass. In both cases, a Lagrangian equation is solved to calculate the particle path through the model.

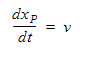
For the massless particles, the equation is:

where xp is the particle position vector and v is the local particle velocity.

For massless particles, this local particle velocity is the same as the local fluid velocity.

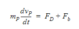
For particles with mass, a second equation is needed to determine the local particle velocity. We use Newton’s Second Law:

where mp is the particle mass, vp is the particle velocity, Fb is the buoyant force and Fd is the drag force calculated using:

In this equation, a,b and c are user inputs and Re is the fluid Reynolds calculated using:

In addition to the definitions above, this equation also uses Rp as the particle radius and is the fluid viscosity.

Finally, the buoyant force is calculated using:

where g is the gravity vector input by the user.