Analysis Characteristics
Reference
Davis, G. De Vahl and Jones, I.P., “Natural convection in a square cavity: a comparison exercise”, Inter. Jour. for Num. Meth. in Fluids, 3, (1983).
Problem Description
Temperature and velocity distributions are calculated for laminar, buoyancy-driven flow in a square cavity. The top and bottom walls are insulated, and the left and right walls are at fixed temperatures differing by 1 K.
The Rayleigh number is computed from:
is the coefficient of volumetric expansion, defined as:
is the density
is the specific heat
and
are the temperatures of the left and right walls, respectively
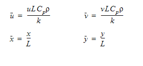
is the viscosity. This problem is analyzed to verify the fluid flow and heat transfer modeling capabilities of Autodesk Simulation CFD. Accuracy is assessed by comparing velocity components at specific locations in the cavity. Velocities and coordinates are normalized in accordance with Davies, et al. (1983) as follows:
Geometry and Boundary Conditions
Results
Using the expressions defined above for
,
,
and
, the following results are computed:
| Benchmark | 2013: Build 20120131 | % Error | 2014: Build 20130102 | % Error | |
|
16.178 | 15.905 | 1.686 | 15.862 | 1.952 |
|
0.823 | 0.826 | 0.394 | 0.826 | 0.404 |
|
19.617 | 19.488 | 0.653 | 19.458 | 0.809 |
|
0.119 | 0.114 | 4.188 | 0.113 | 4.373 |