Selecting this option will remove any results contour from the model and will use the default colors for the shading and the mesh lines.
This option will color the model to display the displacement. The commands available are as follows:
This option will color the model to display the rotation at each node. This result will only be valid for nodes on elements that can resist rotation. For example, the nodes on brick elements only have the three translational degrees of freedom available. Therefore the rotational displacement will not be calculated. Nodes on beam elements can resist all three rotations. Nodes on plate elements can resist the two in-plane rotations. The commands available are as follows:
The rotation results need to be interpreted with care in a large deflection analysis (MES or nonlinear analysis) when multiple rotations are involved. The rotation results include the complete history of the motion and therefore are path dependent. See the following figure for an example. (The displacement results are not path dependent.)
![]() An L shaped beam starts in the XZ plane. |
![]() First, the beam is rotated -90 degrees about the X axis. |
![]() Second, the beam is rotated 90 degrees about the Z axis. |
![]() Third, the beam is rotated 180 degrees about the Y axis. |
![]() Fourth, the beam is rotated -90 degrees about the Z axis.
Comparing the final position with the initial position, it seems that the final rotation results would be a net of +90 degrees about the X axis and 0 degrees about the Y and Z. In large deflection analyses, the results are -90 degrees about X, 180 degrees about Y, and 0 degrees about Z. Since the displacement results are path independent, the final displacement results are 0 in X, -L in Y and Z, where L is the length of the short leg. |
In the above example, the difference between using the Large rigid body rotation option (set on the beam element's Element Definition dialog) is the visualization of the beam's orientation. The orientation of axes 2 and 3 are accurate only when using the large rigid body rotation.
Various analytical techniques are available to assist you in determining the suitability of your model. The Results environment provides access to many of these techniques by providing both the raw stresses in local coordinates and many quantities derived from these raw stresses. Derived quantities include von Mises and Tresca criteria, maximum and minimum principal stresses, and element-specific output. Since the accuracy of the analytical results depends on the construction of the mesh and the application of FEA parameters, the Results environment provides a precision estimate at shared nodes. This precision value can assist you in determining the suitability of your model.
The software uses the stress-to-nodes method for calculating stress estimations. Using an extrapolation scheme, calculations using nodal stresses usually provide greater accuracy than calculations derived from the stresses inside the elements. Displaying stresses at nodes produces a more realistic and convenient representation of a model under load, because stress values at nodes are more useful than stress values calculated for whole elements.
Stresses calculated for elements produce stress information at Gaussian points. Gaussian points are the numerical integration points at which the finite element solution and the theoretical solution are most similar. The older technique averaged these stresses to center or faces of 2D elements and the centroid of 3D elements, and can show relatively large differences between adjoining elements. Because finite element solutions are approximations of a continuous function, the results from these locations may be too coarse to provide accurate pictures of how a model behaves under stress.
Calculating stresses at individual nodes corrects this problem. Using the 'local-least-squares' method, stresses are extrapolated from Gaussian points to associated nodes. Accurate assessments of stresses at nodes are especially important when nodes are on the surface or edges of the part being analyzed, since these nodes generally coincide with critical areas of the model. Accuracy information is also available where nodes are shared between different elements.
When displaying the surface of a model, the intensity or stress at each point in each element of the mesh that defines the surface, is calculated, and an appropriate displaying value is assigned to that point. Next, the scale used to display the surface is examined, and the appropriate colors and shades for each point are selected, based on the value calculated at that point. The model is then redrawn with its surface shaded according to the displaying technique used. The Results environment provides visualization options, such as smoothing, to let you control the way your model is displayed. This lets you visualize your model in the way that is most significant to you.
This command sets the results display to be the equivalent von Mises stress for a display or data output. The von Mises stress can be displayed for element types with area (2D, plates, and so on) and volume (bricks).
The equation used is:
where S x , S y , and S z are the axial stresses in the global directions, and S xy , S yz , and S xz are the shear stresses. In terms of the principal stresses S 1 , S 2 and S 3 :
Note by the equations that the von Mises value is always positive.
The Tresca*2 stress can be displayed for element types with area (2D, plates, and so on) and volume (bricks). This method extracts the maximum shear stress from the following stress tensor. The Tresca equation is:
where S1, S2, and S3 are the principal stresses. The value reported is twice the maximum shear stress. Thus yielding would occur when the reported Tresca*2 value reaches the yield stress. By definition, the Tresca stress is always positive. See Mohr's Circle for an illustration of this. Tresca*2 is also known as the stress intensity.
This command sets the results display to calculate the minimum principal stress (S3) for displaying or data output. The principal stress can be displayed for element types with area (2D, plates, and so on) and volume (bricks). Positive (+) indicates tension, and negative (-) indicates compression. See Mohr's Circle for an illustration of this.
This command will display a vector plot of the direction of the minimum principal stress in each element. The tensors at each node of the element are averaged and the minimum principal direction of this average tensor is plotted at the element centroid. If you select an element and select Results Inquire
Inquire
Current Results, the components of this vector will be displayed.
This command sets the results display to calculate the intermediate principal stress (S2) for displaying or data output. This is the stress in the direction normal to the minimum and maximum principal stresses. The principal stress can be displayed for element types with area (2D, plates, and so on) and volume (bricks). Positive (+) indicates tension, and negative (-) indicates compression.
This command will display a vector plot of the direction of the intermediate principal stress in each element. The tensors at each node of the element are averaged and the intermediate principal direction of this average tensor is plotted at the element centroid. If you select an element and select Results Inquire
Inquire
Current Results, the components of this vector will be displayed.
This command sets the results display to calculate the maximum principal stress (S1) for displaying or data output. The principal stress can be displayed for element types with area (2D, plates, and so on) and volume (bricks). Positive (+) indicates tension, and negative (-) indicates compression. See Mohr's Circle for an illustration of this.
This command will display a vector plot of the direction of the maximum principal stress in each element. The tensors at each node of the element are averaged and the maximum principal direction of this average tensor is plotted at the element centroid. If you select an element and select Results Inquire
Inquire
Current Results, the components of this vector will be displayed.
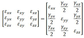
This command displays the component of the stress in the chosen direction. Technically, it uses the double dot product with the stress tensor or local stress components. The stress tensor can be displayed for element types with area (2D, plates, and so on) and volume (bricks).
If Results Contours
Settings
Use Element-Local Results is not active, you will be able to select between the following global stresses. If this option is active, the following choices will display the local stress tensors mentioned in the individual descriptions.
For elements with local axes, smoothing (averaging) the stresses may not be meaningful, especially if the orientation of the local axes varies between adjacent elements. The smoothed stress tensor values are meaningful only if the local axes are in a consistent direction from one element to the next element.
Settings
Use Element-Local Results is active, the local 1-1 stress tensor will be displayed.
Settings
Use Element-Local Results is active, the local 2-2 stress tensor will be displayed.
Settings
Use Element-Local Results is active, the local 3-3 stress tensor will be displayed.
Settings
Use Element-Local Results is active, the local 1-2 stress tensor will be displayed.
Settings
Use Element-Local Results is active, the local 2-3 stress tensor will be displayed.
Settings
Use Element-Local Results is active, the local 3-1 stress tensor will be displayed. This command will show the stresses for linear and nonlinear truss elements, linear and nonlinear beam elements, and nonlinear pipe elements. The results available are the following:
Inquire
Detailed Beam Stress and Results Inquire
Inquire
Detailed Beam Strain in the Results environment to review the results. Worst = (sign of P/A)(ABS(P/A)+ABS(M2/S2)+ABS(M3/S3))
A stress analysis (both linear and nonlinear) assumes the cross section is symmetric (due to only one input or calculated value for S2 and S3). Therefore, the worst stress could mathematically occur at a nonexistent location in a nonsymmetrical beam, such as in the lower-left or upper-left corner of Figure 1.

Figure 1: Stress Results in a Nonsymmetrical Beam
Because C2 and C3 are assumed to be equal (based on only one input for S3 and S2), the worst stress can be reported at a nonexistent location.
Use Results Options
View
Element Orientation to display the local 1, 2, or 3 axes for the beam elements.
This command will display the results corresponding to the in-plane composite failure criteria set in the Element Definition dialog (Tsai-Wu, Maximum Stress or Maximum Strain).
It is recommended that smoothing (Results Contours
Settings
Smooth Results) be turned off to see the actual failure criteria value in each element (instead of the smoothed or averaged value between adjacent elements).
You can control the lamina for which you are viewing the results using Results Contours
Stress
Composites
Options. You can also choose to view the Worst results using this command.
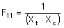
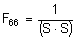
For the maximum stress and maximum strain criteria, first consider the following factors of safety, based on the top and bottom surface of the laminae:
Maximum Stress - Factors of Safety:
,
,
,
,and
where σ is the calculated normal stress in direction 1 or 2, X and Y are the allowable stresses in direction 1 and 2 (compression or tension matched to the calculated stress), τ 12 is the calculated shear stress, and S is the allowable shear stress.
Maximum Strain - Factors of Safety:
,
,
,
, and
where ε is the calculated normal strain in direction 1 or 2, T is the appropriate allowable strain in direction 1 and 2 (compression or tension matched to the calculated strain), γ 12 is the calculated shear strain, and S is the allowable shear strain.
Then, the results displayed are as follows:
| Failure Index for Maximum Stress and Maximum Strain | |
|---|---|
| Linear Stress | Nonlinear Stress |
| Calculate values of 1/Factor of Safety | Calculate values of Factor of Safety |
| Plot largest value | Plot smallest value |
| Values >1 represent failure | Values <1 represent failure |
For the Tsai-Wu failure criteria, first consider the value F:
where
σ and τ are calculated normal and shear stresses, and all other values are material inputs.
Then, the results displayed are as follows:
| Failure Index for Tsai-Wu | |
|---|---|
| Linear Stress | Nonlinear Stress |
| Plot the value F | Plot the value 1/F |
| Values >1 represent failure | Values <1 represent failure |
If you are using thick composite elements with the maximum stress failure criteria, this option will be available to view the failure criteria results through the thickness (out-of-plane direction) of the core lamina. The results plotted are the largest value of the following:
,
, and
where σ core is the calculated normal stress in the core (in direction 3), Z c is the allowable core crushing stress, τ is the calculated shear stress, and S is the allowable transverse shear stress.
A value greater than 1 represents failure.
Most of the formulas for the stress results described previously can be used to display the strain results in a model; replace stress in the descriptions and formulas with strain. In these situations, the description below includes a link to the equivalent page. Strain results commands which have significant differences from the equivalent stress command are elaborated below.


Worst = (sign of P/A)(ABS(P/A)+ABS(strain about axis 2)+ABS(strain about axis 3))
For truss elements, the worst strain is equal to the axial strain (P/A).
Strain Energy Density
If this command is selected, the model will be shaded according to the strain energy density. The strain energy of an element is defined as the energy absorbed by the element due to the loading. This can be calculated on a per volume basis as:
.
The sole purpose of these results is to show the relative stress and strain distribution within the model. That is, you can locate the regions of maximum or minimum stress and strain, but you cannot quantify the results using only a modal analysis. Since the results are not scaled to any specific excitation, the absolute stress and strain values have no meaning.
Where applicable, Autodesk Simulation Mechanical models can be exported to Autodesk Simulation Moldflow Advisor or Insight to simulate the injection molding process. Once a Moldflow simulation has been completed, additional results will be available for visualization in the Results environment of Autodesk Simulation Mechanical. These results are chosen from within the Moldflow Result panel on the Results Contour tab of the ribbon. Among the Linear analysis types, the Moldflow results are available only for Static Stress with Linear Material Models. Moldflow results are also available for all Nonlinear structural analyses, except for Natural Frequency (Modal) with Nonlinear Materials. The following results are available:
The results under the Element Forces and Moments are primarily results for line elements: truss, gap, beam, boundary elements, and so on.
The results under the Element Forces and Moments are primarily results for line elements: truss, gap, beam, boundary elements, and so on.
is used for all plate stress calculations. The bending moment tensor is a distributed moment (line moment, moment per unit length). The most easily interpreted results come from the Results Contours
Stress
Tensor. The mathematical calculations for von Mises, Tresca, maximum and minimum principal stresses are performed, but provide results equivalent to the bending stress values multiplied by
.
Direction of Local Forces and Moments for Beam Elements:
| Component | Structural Beam |
|---|---|
| Local 1 Force | positive (+) value indicates tension, negative (-) value indicates compression. |
| Local 2 Force |
|
| Local 3 Force |
|
| Local 1 Moment |
|
| Local 2 Moment |
|
| Local 3 Moment |
|

Figure 2: Direction of Local Forces and Moments for Beam Elements
When a random vibration analysis is performed and the option to output a power spectrum density is selected, the RESULTS will contain the item Power Spectrum Density. (See the page Setting Up and Performing the Analysis: Linear: Analysis Parameters: Random Vibration for activating the option.) The power spectrum density can be graphed as follows:
Graphs
Power Spectrum Density to display one of the following results: Keep in mind that the results are relative to the supports. They refer to power spectrum density with respect to the input excitation.
If multiple nodes were plotted, the power spectrum density needs to be activated for each node, one at a time. Right-click the node of interest in the browser and choose Set Active before attempting to display the power spectrum result. (See the page Results: Results Environment: Graphing the Results of an Analysis for general instructions.)
This command displays the internal forces and reaction forces. The types of results to display are as follows:
In MES/nonlinear, this menu displays the reaction forces at each node. The results are nonzero at boundary conditions, prescribed displacements, impact walls, and surface to surface contact.
In MES/nonlinear, this menu displays the reaction moments at each node. The results are nonzero at boundary conditions and prescribed rotations.
Each of the results type has the following options:
Precision is a method of highlighting stepped changes in results from one element to the next. In an ideal model, the stress would change smoothly between adjacent element. In the process of discretizing the model with elements, there will always be some change in results from one element to the next. The results are not continuous.
In a stress model for example, elements with shared nodes predict stresses independently at the node, and therefore the independent stress calculations provide a precision estimate for the model based on the von Mises stress. The precision value at a given node is calculated as:
By definition, the precision will vary between 0 (best) and 0.5 (worst). Nodes that are not shared between two or more elements have only one stress estimate and therefore a precision index of 0.
Example 1:
If 200 is the maximum von Mises stress in the model, then the precision at the following nodes (with up to 3 elements attached to the node) are as follows:
| Node# | von Mises Stress | PrecisionValue | Comment | ||
| Value 1 | Value 2 | Value 3 | |||
| 17 | 20 | -- | -- | .0 | Single element node |
| 23 | 20 | 40 | 25 | .05 | .5(40-20)/200 |
| 36 | 150 | 120 | 200 | .20 | .5(200-120)/200 |
Example 2:
Given the following figure showing four elements surrounding node #5 and the following stresses:

| Element Number | Node Number | von Mises Stress |
| 1 | 5 | 20,000 |
| 2 | 5 | 15,000 |
| 3 | 5 | 19,000 |
| 4 | 5 | 10,000 |
If the maximum stress in the model is 25,000 (at node 9 for example), the precision at node 5 is
precision node 5 = 0.5(20,000 - 10,000)/25,000 = 0.20
There is no guarantee that actual stresses will fall within the indicated range. The range in which they fall depends on how well the model is meshed, how well the actual part is modeled, and other factors. You should not consider differences smaller than the indicated precision significant. For example, if the precision is .1 and the maximum stress is 200, then differences of less than 20 stress units are not significant.
Selecting this option will display the model with the input loads. Available loads for a structural analysis are temperature and voltage.
Other Results
Applied Loads
Temperature is always available.
Other Results
Applied Loads
Temperature is only available if a Source of nodal temperature has been assigned to the model in the Analysis Parameters. This commands will shade the model based on the shape of the elements. Most of the commands are applicable only to area and volume elements: 2D, plate, brick elements, and so on.
Each of the following options will shade the model based on the selected item.
Analysis
Weight and Center-of-Gravity must be performed on the model, choosing the Results Contours
Other Results
Element Properties
Volume command will display the volume of each element. The Weight and Center-of-Gravity calculator runs automatically if a weighted result summary is calculated in the Inquire: Results dialog. For triangular elements, the aspect ratio is the longest side divided by the height of the triangle above that longest side. This ratio is multiplied by the square root of (3/4) so that an equilateral triangle has an aspect ratio of 1.0.
For quadrilateral elements (plates and 2D), the aspect ratio is calculated in the following way: the length of the longest side is divided by the greatest distance from the longest side to another node of the quadrilateral. A square has an aspect ratio of 1.0. A rectangle with sides of 1 and 2 has an aspect ratio of 2.0.
For brick elements (8-node), the mid-points of the three pairs of opposite faces are connected to form three lines. These lines cross at the center of the brick and each pair of lines defines a plane. For each plane formed by two lines, the ratio of the distance from the plane to the endpoints of the third line, divided by half the length of the longest line forming the plane, is calculated. The aspect ratio for the brick is the largest of these three ratios. For rectangular solids, the aspect ratio is the same as the largest quadrilateral aspect ratio of any of the faces.
For wedge elements (6-node brick), a mid triangle is constructed using the mid points of the edge lines connecting the triangular faces of the wedge. Let b be the largest side of the mid triangle, h be the height of the mid triangle and hw be the length of the line between the mid points of the end triangles. The aspect ratio is the maximum of sqrt(3)*h/(2*b), hw/b and b/hw. A wedge element created by extruding an equilateral triangle a distance equal to the side has an aspect ratio of 1.0.
For pyramid elements (5-node brick), let h be the height of the point above the midplane of the quad. Let b be the longest midedge line of the quad, the aspect ratio is the maximum of the quad aspect ratio, h/b and b/h. A pyramid with a square base and a height equal to the base side has an aspect ratio of 1.0.
For tetrahedral elements (4-node brick), the height, hi, above the base triangle with area ai, is calculated for each of the 4 possible bases. The aspect ratio is the maximum of Cf * hi/sqrt(ai), sqrt(ai)/(Cf * hi) for all 4 base triangles. Cf is (3/4)^3/4 so that the aspect ratio of a tetrahedral with all sides equal is 1.0.