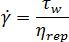
代表せん断速度の定義

バルクせん断速度、または代表せん断速度は、解析で計算される値である壁面せん断応力および流動率から算出されます。

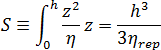
代表粘度 は、流動率 と成形品の肉厚 から次のように計算します。

代表せん断速度は、壁面せん断応力および代表粘度から計算します。