ビーム要素と等価断面形状を持つ変換要素

計算を簡素化するために、円形以外の断面形状を持つビーム要素を、等価円形ビームに変換できます。

元の形状の熱伝導も考慮する必要があります。形状ファクター(実際の断面形状の外周と等価断面積を持つ円形ビームの円周の比率)により、変換されたビームが持つべき追加の表面積が調整されます。

サポートされるビーム要素断面形状

次の表に、利用可能な断面形状、およびその断面形状の定義に必要な寸法を示します。

形状 必要な寸法
円形 直径(2r)
環状 外径(do)、内径(di)
半円形 直径(2r)、高さ(t)
矩形 幅(a)、高さ(b)
台形 上辺幅(b)、下辺幅(a)、高さ(h)
円弧付き台形 幅(W)、高さ(H)、直径(d)
楕円 長径(a)、短径(b)
その他 等価直径、形状ファクター

円形以外のビーム断面形状の等価直径および形状ファクター

次の表は、円形以外のビーム断面形状の定義に必要な寸法、および各ビーム形状の等価直径および形状ファクターを定義する計算を示しています。

注: 円形および環状ビーム形状は解析によって明示的に求められます。このため、円形および環状ビーム形状に対して、等価直径および形状ファクターを計算する必要はありません。
 形状 断面形状 等価断面積に基づく等価直径 形状ファクター
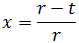
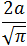
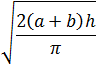
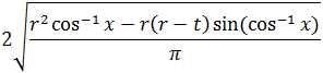
半円形

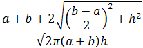
矩形
矩形
台形
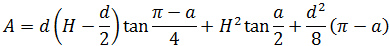
円弧付き台形
円弧付き台形

ここで、

ここで、

楕円形
 
重要: 上記の数式では、角度の単位はラジアン(度ではなく)で示す必要があります。

計算例

断面幅(a)が 5 mm、高さ(b)が 3 mm の矩形状のランナーがあります。

上記の数式を使用して、このランナーは、次の直径を持つ円形ビーム要素でモデリングできます。

または、4.37 mm

ランナーは、次の形状ファクターが必要です。

または、1.16

このビーム要素のモデリング時には、[編集] [形状]タブ > [プロパティ]パネル > [編集]を選択します。[断面]ボックスで[その他の形状]を選択します。[寸法の編集]をクリックし、表示される[断面寸法]ダイアログ ボックスで、算出した等価直径(4.37)と形状ファクター(1.16)を入力します。