半導体封止成形のパドル シフト解析の精度を上げるためには、次の理由により、リードフレーム開口部を通過するクロス フローを考慮する必要があります。
パドル シフトは、リードフレームの上部と下部キャビティ間の圧力差によって発生する。圧力差を正確に計算するには、クロス フローのモデリングが必要。
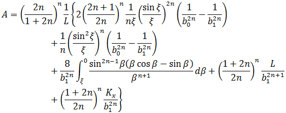
下図 1 に示すように、一般の QFP パッケージでは、リードフレーム開口部はパッケージのコーナー、側面、周辺部にあります。充填+保圧解析用に、Hele-Shaw 近似を使用してリードフレーム開口部のモデリングをするには、開口部全体の流動に関連したジャンクチャー ロスを考慮する必要があります。ジャンクチャー ロスのため、モデリングした開口部は実際の開口部のサイズとは異なります。モデルで使用する開口部のサイズ (厚み) を計算するために次の方程式を使用します。
ここで、
および
次の場合
次の場合
次の場合
ここで、
は
は指数則
は開口部幅の半分
はソリッド リージョン間の距離の半分
はモデルで使用する開口部幅の半分 モデルの開口部の長さをリードフレームの厚みとして使用できます。チップの周辺部(下図 1 参照)に関して、
は
の半分と仮定でき、
はリードフレームの厚みです。
=0.74、
= 1.2041、
= 0.2501、
=0.903 の場合。
、
、
の値は
への依存性は低いため、これらの値を他の
の値に対して使用できます。近似では、
は
とみなすことができます。方程式 2 の積分項は、次の方程式で近似値を求めることができます。
非常に多数の開口部をシミュレーションでモデリングする領域もあります。たとえば、側面領域に数十の開口部がある場合があります。次の方程式を使用して、同じサイズの
個の開口部を 1 つに統合して、1 つの開口部のサイズを決定します。
キャビティの肉厚に関しては、1 つの側面の肉厚を使用してモデリングできます。しかし、大きな開口部 (チップの周辺部) に対しては、2 つのキャビティの肉厚を合計した値を使用します。モデルでは、ワイヤーは無視されます。
キャビティの他のモデリング方法は次のとおりです。チップの周辺部の大きな開口部領域の厚みは、キャビティの 1 つの側面の肉厚を使用してモデリングできます。ただし、この領域の形状ファクターは 0.5 です。他の領域の形状ファクターは 1 です。
チップ キャビティ モデルの例を図 1 に示します。このモデルには、上下のキャビティ、およびこれらのキャビティを接続するキャビティがあります。上下のキャビティは L (リードフレームの厚み)によって分離されています。

クロス フロー要素を含むキャビティのモデリング例
ここで、
= 上部のキャビティ
= クロス フロー要素
= 下部のキャビティ