計算を簡素化するために、円形以外の断面形状を持つビーム要素を、等価円形ビームに変換できます。
元の形状の熱伝導も考慮する必要があります。形状ファクター(実際の断面形状の外周と等価断面積を持つ円形ビームの円周の比率)により、変換されたビームが持つべき追加の表面積が調整されます。
次の表に、利用可能な断面形状、およびその断面形状の定義に必要な寸法を示します。
形状 | 必要な寸法 |
---|---|
円形 | 直径(2r) |
環状 | 外径(do)、内径(di) |
半円形 | 直径(2r)、高さ(t) |
矩形 | 幅(a)、高さ(b) |
台形 | 上辺幅(b)、下辺幅(a)、高さ(h) |
円弧付き台形 | 幅(W)、高さ(H)、直径(d) |
楕円 | 長径(a)、短径(b) |
その他 | 等価直径、形状ファクター |
次の表は、円形以外のビーム断面形状の定義に必要な寸法、および各ビーム形状の等価直径および形状ファクターを定義する計算を示しています。
形状 | 断面形状 | 等価断面積に基づく等価直径 | 形状ファクター |
---|---|---|---|
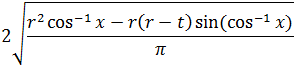
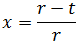
半円形 |
![]() |
![]()
|
![]()
|
矩形 |
![]() |
![]() |
![]() |
矩形 |
![]() |
![]() |
![]() |
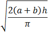
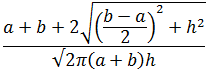
台形 |
![]() |
![]() |
![]() |
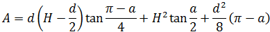
円弧付き台形 |
![]() |
![]() |
![]() |
円弧付き台形 |
![]() |
![]() ここで、
|
![]() ここで、
|
楕円形 |
![]() |
![]() |
![]() |
重要: 上記の数式では、角度の単位はラジアン(度ではなく)で示す必要があります。
|
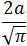
断面幅(a)が 5 mm、高さ(b)が 3 mm の矩形状のランナーがあります。
上記の数式を使用して、このランナーは、次の直径を持つ円形ビーム要素でモデリングできます。
または、4.37 mm
ランナーは、次の形状ファクターが必要です。
または、1.16
このビーム要素のモデリング時には、 を選択します。[断面]ボックスで[その他の形状]を選択します。[寸法の編集]をクリックし、表示される[断面寸法]ダイアログ ボックスで、算出した等価直径(4.37)と形状ファクター(1.16)を入力します。