湿潤空気/湿度の計算

前述したように、湿潤空気の流れに対するエネルギー方程式は、温度と比熱を用いて次のように表されます。

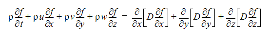
流体内の水分を追跡するために、水分(蒸気または液体の状態)の質量分率を表すスカラー量について、追加の偏微分方程式が解かれます。

これら2つの方程式の解と蒸気表より、水分の量(蒸気の割合)を計算することができます。混合気体の量と質量分率を使用することにより、凝縮水の量と質量分率を計算することができます。この混合分率は、計算領域内の全節点について相対湿度の変化に従う湿潤空気の計算のために出力されます。

湿り蒸気のプロパティは、同種の混合物を想定して計算されます。例えば、密度は以下のように計算されます。

ここで、水分の密度は、計算されたエンタルピーを使用して蒸気表より計算されます。