コンパクト熱モデル

2つの抵抗で構成されるコンパクト熱モデルは、ケース・ジャンクション・基板の3つの節点で構成されています。ジャンクションはダイまたはチップとも呼ばれます。ケースはパッケージの上面であり、パッケージにヒートシンクを取り付ける部分です。基板節点は、基板とジャンクション間の熱抵抗 (θjb) により接続されています。ケース節点は、ケースとジャンクション間の熱抵抗 (θjc) により接続されています。ジャンクションからの、あるいはジャンクションへの熱移動は、これら2つの熱抵抗を通してのみ行われます。

Autodesk Simulation CFD では、ジャンクションは 1 つの節点であると考えます。しかし、基板とケースのサーフェスには多数の節点が含まれており、これらをジャンクションの1つの節点に接続する必要があります。これを実現するため高い熱伝導率を使用します。

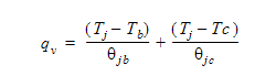
ジャンクションの1節点をその他の節点に接続するため、ジャンクションでのエネルギーバランスは次式によって与えられます。

この式は、前述のエネルギー方程式に組み込まれ、Autodesk Simulation CFD によって陰的に解かれます。