합리적인 설계 프로세스의 단계 중 하나는 확인입니다. 설계를 확인하려면 신뢰할 수 있는 단순한 이론상의 경우를 사용하여 측정해보는 것이 좋습니다. 다음이 그러한 경우입니다.
시뮬레이션 출력의 확인을 얻기 위해 사용된 방정식과 가정이 각 경우에 대해 설명되어 있습니다.
단순한 질량 및 스프링 확인의 경우

뉴턴의 법칙
(1)
포함:
| 수치 값: | |
|---|---|
| |
|
| |
|
| |
|
| |
10 |
| |
20 |
| |
15000 |
| |
0.3 |
| |
9.81 |
| |
0.33 |
| |
0.0 |
|
(1) |
|
|
|
|
|
|
|
|
이렇게 차이가 있는 방정식에 대한 해는 다음과 같습니다. |
|
|
|
|
|
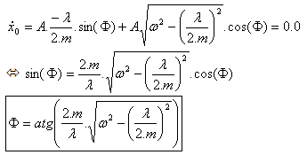
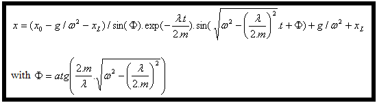
시스템이 안정적일 때 특별한 해는 |
|
|
그런 다음 (2) |
|
|
|
|
|
|
|
|
초기 조건은 값 A 및 |
|
|
t = 0.0, (3) |
|
|
|
|
|
및 |
|
|
|
|
|
마지막으로 (3)에서 보고된 (4)와 (6)은 변위의 방정식을 제공합니다. |
|
|
|
|
|
이 방정식은 Excel에서 프로그래밍했고 그 결과를 다이나믹 시뮬레이션에서 작성한 결과와 비교했으며, 두 결과는 동일했습니다. |
|
![]() |
|
이번 확인의 목적은 다이나믹 시뮬레이션의 출력을 이론상 방정식과 비교해서 결과가 같은 경우 크랭크샤프트와 피스톤 매커니즘에서 위치와 속도를 확인하는 것입니다.
알려진 값: 크랭크샤프트의 회전 중심으로부터 크랭크샤프트 저널의 "throw" 또는 거리, 주 베어링 저널과 피스톤 핀 접합 간 연결 로드의 길이.
다이어그램

|
정의 |
R = 길이(OP) = 크랭크샤프트 throw L = 길이(PQ) = 연결 로드 길이 |
![]() |
|
|
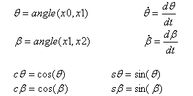
절대 좌표계 R0 = (x0, y0)과 관련된 점 Q의 속도 |
|
|
|
// R0에서 Q의 위치 |
|
|
// R0에서 Q의 속도 |
| 포함:
|
|
| 및:
|
|
|
|
|
| 포함: |
|
| 및: |
|
| 그런 다음: |
|
|
점 Q는 y0 축에 있으며 x0 구성요소는 0.0입니다. |
|
|
|
|
![]() |
|
| 마지막으로 (1) 사용: | |
|
|
|
|
방정식 (1) 결과 |
|
|
(1) |
|
및 ![]() |
|
| MS Excel 및 수치 값(L=0.125m, R=0.06m 및 |
|
|
위치: |
|
![]() |
|
|
속도: |
|
![]() |
|
결과: 다이나믹 시뮬레이션의 곡선은 이론적 방정식으로 산출한 곡선과 동일합니다.