
판금 부품은 접힌 상태 또는 기능 상태에 의해 정의되지만 플랫 시트에서 조립됩니다. 플랫 패턴을 형성하도록 전개되는 절곡부는 절곡부 영역 내의 재질을 변형합니다. 변형의 정도는 몇몇 변수에 따라 다릅니다. 접힌 모형을 평평한 상태로 변형하려면 다음 세 가지 방법 중 하나를 사용하여 이 변형의 이유를 설명해야 합니다.
사용자 방정식을 사용하여 접힌 판금 부품 모형 내에서 절곡부 영역을 얼마나 평평하게 만들지 정확하게 지정합니다. 이러한 사용자 방정식은 스타일 및 표준 편집기 대화상자를 사용하여 정의되는 명명된 전개 규칙 내에 정의됩니다.
평평해진 변형을 해결하기 위한 방정식 유형은 다음 섹션에 자세히 설명되어 있습니다.

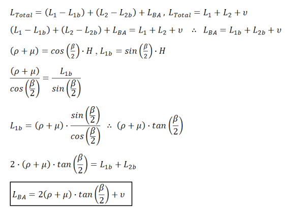
절곡부 보정 방정식을 사용하면 방정식을 통해 전개되는 총 길이를 결정할 수 있습니다.
설명:
|
|
전개된 총 길이입니다. |
|
|
첫 번째 세부 면에서부터 가상선까지의 길이입니다. |
|
|
두 번째 세부 면에서부터 가상선까지의 길이입니다. |
|
|
절곡부 허용 오차 계산의 결과입니다. |
Inventor에서는 다음 방정식을 사용하여 절곡부 허용 오차를 계산합니다. 각도의 경우:
사용되는 방정식:
설명:
|
|
절곡부 각도입니다. |
|
|
절곡부 허용 오차 길이입니다. |
|
|
절곡부 판 내부 반지름입니다. |
|
|
시트 두께입니다. |
|
|
절곡부 허용 오차 계산의 결과입니다. |
절곡부 허용 오차를 포함하도록 원래 방정식을 확장할 때의 결과:


각도의 경우:

다음 방정식에 사용됩니다.
절곡부 허용 오차를 포함하도록 원래 방정식을 확장할 때의 결과:


절곡부 허용 오차가 결정된 후 다음을 사용하여 K 계수를 파생할 수 있음:


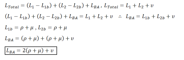
절곡부 감소 방정식을 사용하면 방정식을 통해 전개되는 총 길이를 결정할 수 있습니다.
설명:
|
|
전개된 총 길이입니다. |
|
|
첫 번째 세부 면에서부터 가상선까지의 길이입니다. |
|
|
두 번째 세부 면에서부터 가상선까지의 길이입니다. |
|
|
절곡부 허용 오차 계산의 결과입니다. |
절곡부 감소 방정식을 통해 절곡부 보정 방법과 완전히 반대인 방법으로 간주할 수 있는 계산 방법을 얻을 수 있습니다.
절곡부 감소의 경우 Inventor에서는 다음 방정식을 사용하여 절곡부 허용 오차를 계산합니다. 각도의 경우:

사용되는 방정식:

설명:
|
|
절곡부 각도입니다. |
|
|
절곡부 허용 오차 길이입니다. |
|
|
절곡부 판 내부 반지름입니다. |
|
|
시트 두께입니다. |
|
|
절곡부 허용 오차 계산의 결과입니다. |
각도의 경우:
사용되는 방정식:

절곡부 허용 오차 방정식을 사용하면 방정식을 사용하여 전개되는 총 길이를 결정할 수 있습니다.
설명:
|
|
전개된 총 길이입니다. |
|
|
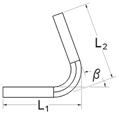
첫 번째 절곡부 판의 길이입니다. |
|
|
두 번째 절곡부 판의 길이입니다. |
|
|
절곡부 허용 오차 계산의 결과입니다. |
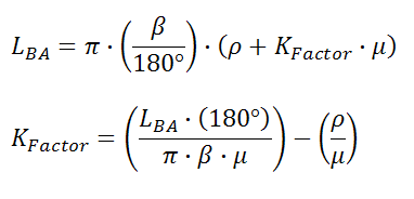
정의된 방정식이 제공되어 절곡부 허용 오차가 즉시 해결됩니다. K 계수는 다음 방정식을 통해 파생됩니다.


K 계수를 사용하여 전개되는 총 길이를 결정하는 방법은 다음 방정식을 사용합니다.
설명:
|
|
전개된 총 길이입니다. |
|
|
첫 번째 절곡부 판의 길이입니다. |
|
|
두 번째 절곡부 판의 길이입니다. |
|
|
절곡부 허용 오차 계산의 결과입니다. |
절곡부 허용 오차는 다음 방정식을 사용하여 계산됩니다.