강도 검사

필요한 벨트 수를 결정하거나 벨트 연동의 강도 검사를 수행할 때 응용프로그램에서는 벨트 동력비와 전달할 동력을 비교합니다. 또한 벨트 동력비를 가져오기 위해 기준 동력비를 주어진 벨트 연동 배치에서 결정된 고유 계수에 따라 정정합니다.

기준 벨트 동력비 P BR

기준 벨트 동력비는 XML 데이터 테이블에 정의되고 설계 데이터 폴더에 저장된 공식에 따라 결정됩니다. V-벨트 생성기에서 제공하는 각 벨트는 사용 가능한 모든 벨트와 필요한 기계적 특성이 들어 있는 특정 XML 파일로 설명됩니다. 기준 동력 공식과 이 공식에 사용된 계수는 표준 권장 사항에서 가져오며 실제 제조업체 데이터와 다를 수 있습니다. 사용자는 기준 벨트 동력비를 사용자화하고 벨트 제조업체 카탈로그에서 실제 데이터를 제공할 수 있습니다. 일반적으로 표준 권장 동력비는 보다 안전하며 벨트 제조업체 교환 가능 수준을 제공하지만 벨트 연동이 과도하게 설계될 수 있습니다.

기준 벨트 동력비는 속도, 피치 지름 및 가장 작은 풀리(연동 또는 연계 풀리)의 속도비 함수입니다.

P RB = F(n j , D Pj , i j )

주: j 지수는 벨트 연동에서 가장 작은 연동 또는 연계 풀리의 지수를 나타냅니다.

벨트 동력비 P R

P R = P RB c 1 c 3 c 4 c 5

결과 서비스 계수

결과 서비스 계수 C PR < C p 이면 강도 검사가 실패합니다.

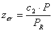
필요한 벨트 수

과도한 인장 조정 검사

벨트의 최대 허용 장력은 다음과 같이 결정됩니다.

F max < F t max 또는 F max < F t 이면 강도 검사가 실패합니다.

유효한 벨트 속도 및 플렉스 진동수 검사

벨트 플렉스 진동수 f b > f max 이면 효율성이 낮아지고 벨트 손상이 조기에 발생할 수 있습니다. 이 경우 오류 경고가 표시됩니다.

벨트 속도 v > v max 이면 벨트가 이러한 속도로 설계되지 않았기 때문에 오류 경고가 표시됩니다.

사용된 변수의 의미:

f max

최대 벨트 플렉스 진동수 [Hz]

f b

주어진 벨트 연동에 대한 벨트 플렉스 진동수 [Hz]

n

주어진 풀리의 속도 [rpm]

D P

플랫 풀리 공칭 및 외부 지름 [m]

i

주어진 풀리의 전동비(속도비) [-]

c 1

접촉 호 정정 계수 [-]

c 2

서비스 계수 [-]

c 3

벨트 길이 정정 계수 [-]

c 4

벨트 수 정정 계수 [-]

c 5

풀리 수 정정 계수 [-]

z

벨트 수 [-]

P R

주어진 전동 배치에 대한 벨트 동력비 [W]

P

전달할 동력 [W]

v

벨트 속도 [m/s]

v max

최대 허용 벨트 속도 [m/s]

주: j 지수는 벨트 연동에서 가장 작은 연동 또는 연계 풀리의 지수를 나타냅니다.

기본 형상 계산