
Części konstrukcji blachowej są definiowane wg ich formy zwiniętej i funkcjonalnej, ale wytwarzane są z płaskiego arkusza. Zagięcia rozwinięte w celu ukształtowania rozwinięcia blachy powodują odkształcenie materiału w strefie zagięcia. Stopień odkształcenia zależy od wielu zmiennych. Przekształcanie materiału zwiniętego do formy płaskiej wymaga uwzględnienia deformacji za pomocą trzech metod:
Użyj równań utworzonych przez użytkownika, aby dokładnie określić sposób obliczenia spłaszczenia stref zagięcia w zawiniętych modelach części konstrukcji blachowej. Takie równania utworzone przez użytkownika są określone w nazwanej regule rozwijania określonej za pomocą okna dialogowego Edytor stylów i standardów.
Typy równań do rozwiązywania spłaszczonego odkształcenia są opisane w poniższych sekcjach.

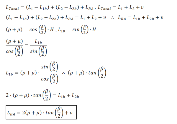
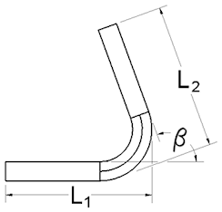
Równanie kompensacji zagięcia umożliwia określenie całkowitej rozwiniętej długości za pomocą równania:

gdzie:
|  | jest całkowita rozwinięta długość. | 
|  | jest długość od pierwszej powierzchni detalu do kąta wirtualnego. | 
|  | jest długość od drugiej powierzchni detalu do kąta wirtualnego. | 
|  | jest wynik obliczenia naddatku na zagięcie. | 
Program Inventor oblicza naddatek na zagięcie za pomocą poniższych równań. Dla przypadków kątowych:

zastosowanym równaniem jest:

gdzie:
|  | jest kąt zagięcia. | 
|  | jest długość naddatku na zagięcie. | 
|  | jest wewnętrzny promień zagięcia płyty. | 
|  | jest grubość arkusza. | 
|  | jest wynik obliczenia naddatku na zagięcie. | 
Rozszerzenie początkowego równania, aby zawrzeć w nim obliczenie naddatku na zagięcie powoduje:


Dla przypadków kątowych:

Stosowany jest następujący wzór:

Rozszerzenie początkowego równania, aby zawrzeć w nim obliczenie naddatku na zagięcie powoduje:


Jeżeli określono naddatek na zagięcie, można wyprowadzić WspółczynnikK korzystając z:


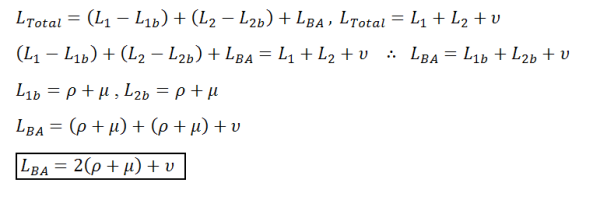
Równanie odliczenia zagięcia umożliwia określenie całkowitej rozwiniętej długości za pomocą równania:

gdzie:
|  | jest całkowita rozwinięta długość. | 
|  | jest długość od pierwszej powierzchni detalu do kąta wirtualnego. | 
|  | jest długość od drugiej powierzchni detalu do kąta wirtualnego. | 
|  | jest wynik obliczenia naddatku na zagięcie. | 
Równanie odliczenia zagięcia zapewnia metodę obliczenia będącą dokładnym przeciwieństwem metody kompensacji zagięcia.
Dla odliczeń zagięcia program Inventor oblicza naddatek na zagięcie za pomocą poniższych równań. Dla przypadków kątowych:


zastosowanym równaniem jest:

gdzie:
|  | jest kąt zagięcia. | 
|  | jest długość naddatku na zagięcie. | 
|  | jest wewnętrzny promień zagięcia płyty. | 
|  | jest grubość arkusza. | 
|  | jest wynik obliczenia naddatku na zagięcie. | 
Dla przypadków kątowych:

zastosowanym równaniem jest:


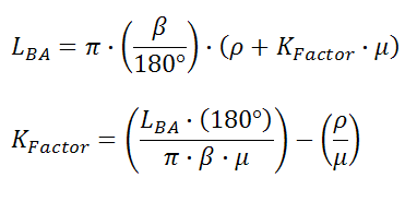
Równanie naddatku na zagięcie umożliwia określenie całkowitej rozwiniętej długości za pomocą równania:

gdzie:
|  | jest całkowita rozwinięta długość. | 
|  | jest długość pierwszej płyty zagięcia. | 
|  | jest długość drugiej płyty zagięcia. | 
|  | jest wynik obliczenia naddatku na zagięcie. | 
Określone równanie jest dostarczone, aby bezpośrednio obliczyć naddatek na zagięcie. WspółczynnikK można wyprowadzić za pomocą poniższego równania:


Określenie całkowitej rozwiniętej długości za pomocą metody WspółczynnikaK wymaga użycia równania:

gdzie:
|  | jest całkowita rozwinięta długość. | 
|  | jest długość pierwszej płyty zagięcia. | 
|  | jest długość drugiej płyty zagięcia. | 
|  | jest wynik obliczenia naddatku na zagięcie. | 
naddatek na zagięcie jest obliczany przy użyciu poniższego równania:
