 
Przenoszony moment obrotowy

gdzie:
| P | moc [kW] | |
| n | prędkość [rpm] | 
Obliczenia minimalnej średnicy wału
1. średnica wewnętrzna wału d h > 0
a) 
b) jeżeli d min ≤d h -> d min = 1.1 d h [mm]
c) jeżeli d min ≤ 1.5 d h -> d min = 1.5 d h [mm]
2. średnica wewnętrzna wału d h = 0

gdzie:
| d min | minimalna średnica wału [mm] | |
| d h | wewnętrzna średnica wału [mm] | |
| T | moment obrotowy [Nm] | |
| K a | współczynnik zewnętrznych sił dynamicznych | |
| K f | współczynnik żywotności | |
| S v | żądane bezpieczeństwo | |
| τ A | Dopuszczalne naprężenia ścinające | 
Obliczenia ogólne
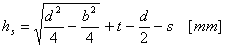
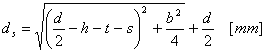
|  | zakres aktywności siły na wale | 
| h k = h - h s - 2 s [mm] | zakres aktywności siły na piaście | 
|  | średnica wału zakresu aktywności siły | 
|  | średnica piasty zakresu aktywności siły | 
|  | siła na wale | 
|  | siła na piaście | 
| gdzie: | 
| T | moment obrotowy [Nm] | |
| F s | siła na wale [N] | |
| F h | siła na piaście [N] | |
| K a | współczynnik zewnętrznych sił dynamicznych | |
| K f | współczynnik trwałości | |
| K w | współczynnik zewnętrznych sił dynamicznych | |
| K m | współczynnik rozłożenia obciążenia | |
| S v | żądane bezpieczeństwo | |
| d | średnica wału [mm] | |
| d s | średnica wału, gdzie działa siła F s [mm] | |
| d h | średnica wału, gdzie działa siła F d [mm] | |
| N | liczba rowków [-] | |
| h | wysokość rowka | |
| h s | wysokość punktu działania siły na wale [mm] | |
| h h | wysokość punktu działania siły na piaście [mm] | |
| b | szerokość rowka | |
| t | głębokość rowka w wale [mm] | |
| s | fazowanie | |
| p Dmins | minimalny dopuszczalny nacisk (rowek, wał) [MPa] | |
| p Dminh | minimalny dopuszczalny nacisk (rowek, piasta) [MPa] | 
Minimalna długość wpustu do przenoszenia momentu obrotowego
| 1. Połączenie stałe: | a) | 
| b) | |
| L min = min(L mins , L minh ) | |
| 2. Elastyczne połączenie: | a) | 
| b) | |
| L min = min(L mins , L minh ) | |
| gdzie: | 
| F s | siła na wale [N] | |
| F h | siła na piaście [N] | |
| K a | współczynnik zewnętrznych sił dynamicznych | |
| K f | współczynnik trwałości | |
| K w | współczynnik zewnętrznych sił dynamicznych | |
| K m | współczynnik rozłożenia obciążenia | |
| S v | żądane bezpieczeństwo | |
| d | średnica wału [mm] | |
| N | liczba rowków [-] | |
| h s | wysokość punktu działania siły na wale [mm] | |
| h h | wysokość punktu działania siły na piaście [mm] | |
| p Dmins | minimalny dopuszczalny nacisk (rowek, wał) [MPa] | |
| p Dminh | minimalny dopuszczalny nacisk (rowek, piasta) [MPa] | 
Minimalny dopuszczalny nacisk
| 1. Połączenie stałe: | a) | 
| b) | |
| 2. Elastyczne połączenie: | a) | 
| b) | |
| gdzie: | 
| F s | siła na wale [N] | |
| F h | siła na piaście [N] | |
| K a | współczynnik zewnętrznych sił dynamicznych | |
| K f | współczynnik trwałości | |
| K w | współczynnik zewnętrznych sił dynamicznych | |
| K m | współczynnik rozłożenia obciążenia | |
| S v | żądane bezpieczeństwo | |
| d | wewnętrzna średnica przekroju rowka [mm] | |
| N | liczba rowków [-] | |
| h s | wysokość punktu działania siły na wale [mm] | |
| h h | wysokość punktu działania siły na piaście [mm] | |
| l f | czynna długość wpustu [mm] | 
Kontrola wytrzymałości
p mins ≤ p Ds
p minh ≤ p Dh
gdzie:
| p mins | minimalny obliczony nacisk ścinający w wale [MPa] | |
| p minh | minimalny obliczony nacisk ścinający w piaście [MPa] | |
| p Ds | dopuszczalny nacisk w wale [MPa] | |
| p Dh | dopuszczalny nacisk w piaście [MPa] | 
Obliczenia uproszczone
Minimalna długość wpustu do przenoszenia momentu obrotowego
| 1. Połączenie stałe: |  | 
| 2. Elastyczne połączenie: |  | 
| gdzie: | 
| T | moment obrotowy [Nm] | |
| K a | współczynnik zewnętrznych sił dynamicznych | |
| K f | współczynnik trwałości | |
| K w | współczynnik zewnętrznych sił dynamicznych | |
| K m | współczynnik rozłożenia obciążenia | |
| S v | żądane bezpieczeństwo | |
| d | średnica wału [mm] | |
| N | liczba rowków [-] | |
| h | wysokość rowka | |
| s | fazowanie | |
| h st | connection height h st = h - 2 s [mm] | |
| p Dmin | dopuszczalny nacisk na powierzchnię nośną wału, rowka lub piasty [MPa] | 
Nacisk dopuszczalny
| 1. Połączenie stałe: |  | 
| 2. Elastyczne połączenie: |  | 
| gdzie: | 
| T | moment obrotowy [Nm] | |
| K a | współczynnik zewnętrznych sił dynamicznych | |
| K f | współczynnik trwałości | |
| K w | współczynnik zewnętrznych sił dynamicznych | |
| K m | współczynnik rozłożenia obciążenia | |
| S v | żądane bezpieczeństwo | |
| d | średnica wału [mm] | |
| N | liczba rowków [-] | |
| h | wysokość rowka | |
| s | fazowanie | |
| h st | connection height h st = h - 2 s [mm] | |
| l f | czynna długość wpustu [mm] | 
Kontrola wytrzymałości
p min ≤ p Ds
p min ≤ p Dh
gdzie:
| p min | minimalny obliczony nacisk h/2 [MPa] | |
| p Ds | dopuszczalny nacisk w wale [MPa] | |
| p Dh | dopuszczalny nacisk w piaście [MPa] |