Podczas szkicowania splajnu staraj się używać najprostszych rodzajów linii (lub kombinacji linii), aby uzyskać pożądane efekty.
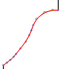
Na przykład może zaistnieć potrzeba utworzenia linii podobnej do tej na poniższym rysunku.

Tę linię można utworzyć przy użyciu kombinacji łuków i linii, lub używając splajnu. Przetwarzanie linii szkicowanych za pomocą splajnów wymaga więcej czasu, dlatego zaleca się używanie kombinacji linii i łuku zamiast splajnów, jeśli tylko jest to możliwe.
Jeśli konieczne jest utworzenie linii za pomocą splajnu, należy używać jak najmniejszej liczby punktów kontrolnych, aby skrócić czas przetwarzania do minimum. Na poniższym rysunku przedstawiono splajn naszkicowany za pomocą wielu punktów kontrolnych (niebieskie kropki).

Taki sam splajn można utworzyć przy użyciu mniejszej liczby punktów kontrolnych, tak jak zostało to pokazane.
