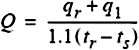
O espaço acima de um forro, quando é utilizado como um caminho de retorno de ar, é um plenum de ar de retorno do forro. Diferente de um retorno em duto tradicional, o plenum pode ter várias origens de calor no caminho. Estas origens de calor podem ser cargas de radiação e de convexão de iluminação e transformadores; cargas de condução de paredes adjacentes, telhados ou vidraça; ou sistemas de duto e tubulação dentro do plenum. As equações seguintes mostram como temperaturas e transferência de calor para plenums são calculadas no mecanismo:
(35)
(36)
(37)
(38)
(39)
onde
= ganho de calor para espaço do plenum através de forro, Btu/h
= perda de calor do plenum através de piso acima, Btu/h
= ganho de calor “obtido” por retorno de ar, Btu/h
= retorno de fluxo de ar, Btu/h
= ganho de calor de luz para o plenum através de ar de retorno, Btu/h
= ganho de calor de luz para espaço, Btu/h
= ganho de calor do plenum abaixo, através de piso, Btu/h
= ganho de calor de parede externa, Btu/h
= carga de resfriamento do espaço, incluindo o tratamento adequado de
,
e/ou
, Btu/h
= temperatura do plenum, °F
= temperatura do espaço, °F
= temperatura do espaço do piso acima, °F
= temperatura de fornecimento, °F

Diagrama de esquema de plenum de ar de retorno típico