Пространство над потолком, через которое проходит рециркулирующий воздух, называется межпотолочной камерой рециркуляции воздуха. В отличие от традиционной рециркуляции по воздуховодам, по траектории рециркуляции в межпотолочном пространстве может быть расположено несколько источников тепла. Эти источники тепла могут представлять собой нагрузки, обусловленные излучением и конвекцией от источников света и трансформаторов, теплопроводностью прилегающих стен, крыш или остекления, а также наличием систем воздуховодов и трубопроводов в межпотолочном пространстве. Температура и теплопередача для межпотолочных пространств рассчитывается в подсистеме по следующим уравнениям:
(35)
(36)
(37)
(38)
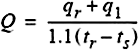
(39)
, где
= теплоприток в пространство из камеры через потолок, брит.тепл.ед./ч,
= потеря тепла из камеры через пол следующего этажа, брит.тепл.ед./ч,
= "перехват" теплопритока рециркулирующим воздухом, брит.тепл.ед./ч,
= теплоприток, обусловленный рециркулирующим воздухом, брит.тепл.ед./ч,
= теплоприток в камеру от источников света через рециркулирующий воздух, брит.тепл.ед./ч,
- теплоприток в пространство от источников света, брит.тепл.ед./ч,
= теплоприток из расположенной ниже камеры через пол, брит.тепл.ед./ч,
- теплоприток от наружных стен, брит.тепл.ед./ч,
= холодильная нагрузка для пространства, рассчитанная с применением подходящего логического оператора
,
(и/или)
, брит.тепл.ед./ч,
= температура в камере, °F,
- температура в пространстве, °F,
- температура в пространстве этажом выше, °F,
- температура подаваемого воздуха, °F.

Схема типичного межпотолочного пространства рециркуляции воздуха