ExposureContrast

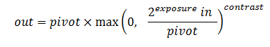
ExposureContrast 元素可模拟调整图像的曝光,并修改浅色和深色之间的对比度。

它是 Academy/ASC XML 颜色变换格式的 Autodesk 扩展。

如果颜色变换用于显示,则根据应用程序,用户仍可以交互方式调整曝光和对比度,只要 CTF 文件至少包含一个带有 DynamicParameter 子元素的 ExposureContrast 元素。在这种情况下,将仅在显示中忽略在 ECParams 子元素中定义的相应参数值,而是在变换链中出现带有 DynamicParameter 子元素的 ExposureContrast 元素的每个点应用应用程序中设置的值。

引入

版本 1.2。

包含

包含于

属性

id、name、bypass、inBitDepth、outBitDepth
请参见通用运算符属性
style
声明输入数据类型。必需。
注: 以下方程式假定输入和输出位深度是浮点。对于整数,值已规格化为 [0.0, 1.0]。换句话说,存储在 CTF 文件中的曝光偏移、对比度级别和枢轴值不取决于输入和输出位深度。
含义
"linear"
"video"
"log"

示例

<ProcessList id="561c5aba-8709-477c-8211-7ec4a6fe8820">
   <ExposureContrast inBitDepth="16f" outBitDepth="32f" style="linear">
      <ECParams exposure="0.65" contrast="1.2" pivot="1" />
      <DynamicParameter param="EXPOSURE" />
      <DynamicParameter param="CONTRAST" />
   </ExposureContrast>
</ProcessList>